Влияние ежедневного приема поливитаминов, полиминералов и экстракта какао на эпигенетические часы старения в рандомизированном клиническом исследовании COSMOS.
Абстрактный
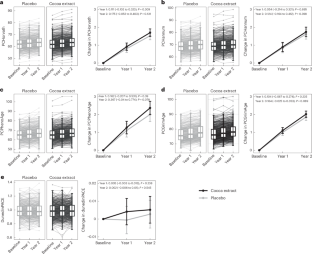
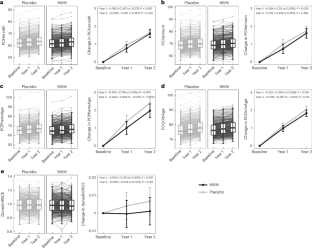
Крупномасштабные рандомизированные исследования показали, что поливитаминные и полиминеральные добавки (ПВМ) и флаванолы какао могут быть полезны при ряде хронических заболеваний, связанных с возрастом, у пожилых людей, но остается неясным, замедляют ли эти две добавки непосредственно процесс биологического старения. В этом заранее запланированном дополнительном исследовании оценивалось двухлетнее влияние ежедневного приема ПВМ (Centrum Silver) и экстракта какао (500 мг флаванолов какао в день, включая 80 мг (−)-эпикатехина) на пять показателей метилирования ДНК, характеризующих биологическое старение (PCHannum, PCHorvath, PCPhenoAge, PCGrimAge и DunedinPACE), среди 958 участников (482 женщины и 476 мужчин) исследования результатов приема добавок какао и поливитаминов (COSMOS). По сравнению с плацебо, ежедневный прием MVM умеренно снижал скорость увеличения эпигенетических часов второго поколения, при этом разница между группами в годовом изменении составила −0,113 года (95% доверительный интервал (ДИ) от −0,205 до −0,020; P = 0,017) для PCGrimAge и −0,214 года (от −0,410 до −0,019; P = 0,032) для PCPhenoAge. MVM оказывал более сильное влияние на PCGrimAge у лиц с ускоренным биологическим старением на исходном уровне (−0,236 [от −0,380 до −0,091]) по сравнению с лицами с нормальным или замедленным биологическим старением (−0,013 [от −0,130 до 0,104]; P = 0,018 для взаимодействия). Экстракт какао не оказал влияния на пять исследованных эпигенетических часов. Хотя статистически значимые, но небольшие эффекты ежедневного приема поливитаминов на замедление биологического старения обнадеживают, необходимы дополнительные исследования для определения клинической значимости ежедневного приема поливитаминов для эпигенетических часов и того, могут ли такие эффекты помочь объяснить благотворное влияние поливитаминов на хронические заболевания, связанные со старением.
Купить или оформить подписку.
Это предварительный просмотр контента по подписке, доступ к которому осуществляется через ваше учреждение.
Варианты доступа
Получите доступ к журналу Nature и еще 54 журналам из портфолио Nature.
Оформите подписку Nature+, нашу самую выгодную подписку на онлайн-доступ.
27,99 € / 30 дней
отменить в любое время
Узнать больше
Подпишитесь на этот журнал
Получите 12 печатных выпусков и доступ к онлайн-версии.
251,40 € в год
всего 20,95 € за выпуск
Узнать больше
Купить эту статью
- Купить на SpringerLink
- Мгновенный доступ к полному PDF-файлу статьи.
39,95 €
К ценам могут применяться местные налоги, которые рассчитываются при оформлении заказа.
Дополнительные варианты доступа:




Похожий контент просматривают другие пользователи.

Обогащенный причинно-следственными связями эпигенетический возраст разъединяет повреждения и адаптацию
Источник: www.nature.com

Добавить комментарий
Для отправки комментария вам необходимо авторизоваться.