Эти пять уравнений должны стать частью вашего ментального арсенала. Возможно, они даже улучшат ваши результаты в боулинге.
Фотография: Ян Хакан Дальстрём; Getty ImagesСохранить эту историю Сохранить эту историю
В январе я написал статью под названием «5 физических уравнений, которые должен знать каждый». Многие из вас высказали свои собственные предложения, и было много хороших. Поэтому я решил сделать продолжение. Пусть эти 10 уравнений будут известны каждому!
Для ясности: этот список предназначен не только для учёных. Вы ведь хотите быть разносторонне развитым человеком и понимать мир, верно? Роберт Хайнлайн писал, что главное в людях то, что они не занимаются чем-то одним. Возможно, вы по профессии наездник на родео, но вы также разбираетесь в искусстве, истории и приготовлении попкорна в микроволновке. Люди — это швейцарские армейские ножи в мире животных.
В пяти уравнениях ниже я объясню описываемые ими соотношения — что они означают. Мы не будем вдаваться в подробности выводов, так что не волнуйтесь, математика не понадобится!
1. Принцип работы-энергии
Это настолько просто, что, возможно, его даже не стоило бы записывать в виде уравнения. Но оно невероятно мощное. Принцип работы-энергии описывает, как изменяется энергия ( E ) системы (символ дельта Δ означает «изменение») при совершении над ней работы ( W ).
Энергия подобна деньгам тем, что она не настоящая — это всего лишь вещь, придуманная людьми для упрощения торговли. Можно утверждать, что доллар стоит определённой суммы в настоящем золоте, но это лишь отодвигает проблему на второй план: почему золото ценно? Потому что так сказали люди.
То же самое верно и для энергии. Это своего рода бухгалтерская книга, способ отслеживания взаимодействий. Рассмотрим пример с кинетической энергией. Это энергия, которой обладает объект, находясь в движении, и которая зависит от его массы и скорости. Энергия измеряется в джоулях.
Сначала нужно определить «систему», которую вы анализируете. Допустим, у вас есть система, представляющая собой шар для боулинга. Когда вы бросаете этот шар на дорожку, вы добавляете энергию своего тела к системе. Вот и всё. Посмотрите: кинетическая энергия шара увеличивается, и он ускоряется. Когда он ударяется о кегли, он передаёт кинетическую энергию, заставляя их разлетаться. Страйк!
Если работа над системой не совершается, полная энергия должна быть постоянной. Мы называем это законом сохранения энергии. Этот принцип был использован для открытия новых явлений. В 1911 году учёные измерили энергию в ходе ядерной реакции, называемой бета-распадом (когда атомное ядро производит электрон). Они обнаружили, что энергия электрона и оставшегося ядра не суммируются — казалось, что энергия не сохраняется. На самом деле она сохранялась, поскольку в этом процессе рождалась ещё одна частица. Это привело к открытию нейтрино.
2. Закон идеального газа
Это, возможно, одно из первых уравнений, которое ученики видят на уроках естествознания, потому что оно важно и с ним легко работать. Закон идеального газа определяет соотношение между давлением ( P ), объёмом ( V ), температурой ( T ) и числом частиц ( n ) в газе. ( R — это просто константа, необходимая для корректной работы всех единиц измерения.)
Когда накачиваешь шину велосипеда, она становится горячее, верно? Это следует из уравнения: при увеличении давления давление должно увеличиться, и температура . Оставьте воздушный шар на улице холодной ночью ( температура уменьшится), и он сожмётся ( температура уменьшится).
Это уравнение рассматривает газ как сплошную среду (например, воздух в воздушном шаре). На самом деле это группа свободных движущихся молекул. Это не имеет значения — любая модель работает. Можно объяснить давление как силу, действующую на единицу площади газа и давящую на стенки сосуда, или можно сказать, что оно возникает из-за отскакивания маленьких шариков от стенок.
3. Уравнение энтропии Больцмана
В этой теме речь идёт об энтропии ( S ), которая характеризует степень беспорядка или случайности в системе. Например, по мере того, как вода нагревается и переходит из твёрдого льда в жидкую, а затем в газообразное состояние, молекулы начинают двигаться активнее, что означает увеличение энтропии.
Справа kB называется постоянной Больцмана, а омега ( Ω ) — числом возможных «микросостояний». Поясню на примере: скажем, у меня есть четыре монеты и четыре человека. Сколькими способами я могу разделить эти монеты? Два крайних случая: каждый получает по одной монете или все четыре монеты достаются одному человеку. Всего существует 35 возможных распределений. Это микросостояния ( Ω ). Поэтому их можно рассматривать как возможные варианты распределения энергии между частицами, при которых общая энергия остаётся неизменной.
Если я уроню баскетбольный мяч, его гравитационная потенциальная энергия по мере падения уменьшится, а кинетическая энергия увеличится — полная энергия сохранится. Но мяч не подпрыгнет так же высоко, как в начале. Это связано с тем, что часть энергии улетучивается в виде тепла при ударе. Мяч немного нагревается. Учитывая эту тепловую энергию, мы обнаруживаем, что энергия всё ещё сохраняется. Но энтропия увеличится.
Но что, если мяч остынет и подпрыгнет выше? Это означает, что тепловая энергия уменьшится, а кинетическая увеличится. Энергия по-прежнему будет сохраняться, но в этом случае энтропия уменьшится. Это действительно возможно, но вы можете продолжать этот эксперимент до скончания времён и никогда не получить такого результата.
Вот ещё один забавный пример. Представьте, что вы кладёте лёд в стакан с тёплой водой. Возможно ли, что вода станет теплее, а лёд — холоднее? Вероятность, опять же, не равна нулю, но крайне маловероятна. Формула Больцмана гласит, что чем больше возможных микросостояний, тем больше энтропия.
В конечном счёте, это приводит ко второму закону термодинамики, который гласит, что полная энтропия замкнутой системы может только увеличиваться со временем или, по крайней мере, никогда не уменьшаться. Так что, например, ваш стол будет становиться всё более и более грязным, пока вы не откроете эту «систему» и не выполните какую-то «работу» — что, как вы помните, означает добавление энергии. К сожалению, Вселенная — по-настоящему изолированная система, поэтому её конец может быть только одним — полной потерей всей структуры и жизни.
4. Закон Ома
Это уравнение используется во многих современных устройствах, поскольку оно связано с электричеством. Закон Ома устанавливает связь между изменением электрического потенциала ( ΔV ) на каком-либо элементе цепи и электрическим током ( I ), протекающим через этот элемент. Поскольку говорить «изменение электрического потенциала» утомительно, мы часто называем его просто «напряжением», поскольку оно измеряется в вольтах. Коэффициент пропорциональности между напряжением и током называется сопротивлением ( R ); неудивительно, что он измеряется в омах.
Но что это на самом деле означает? Как насчёт аналогии: представьте, что у меня есть шланг с водой, стекающий по склону холма. Движущаяся вода подобна электрическому току. Как можно увеличить скорость потока? Можно сделать холм выше, что равносильно изменению напряжения, или увеличить диаметр шланга, чтобы уменьшить сопротивление. Вот он, закон Ома.
Не всё, что вы добавляете в цепь, подчиняется закону Ома. Существуют, например, диоды с непостоянным сопротивлением. Кроме того, существуют элементы, сопротивление которых меняется в зависимости от температуры или даже количества падающего на них света, что делает их отличными измерительными приборами. Но, в конце концов, анализ любой цепи без использования закона Ома невозможен.
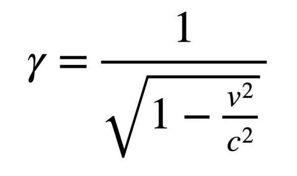
5. Фактор Лоренца
Это не совсем уравнение, а скорее его часть. Мы называем гамму ( γ) фактором Лоренца. Это величина, зависящая от скорости ( v ) объекта, приближающегося к скорости света ( c ). Когда объекты движутся очень быстро, происходят странные вещи. Мы можем вычислить эти странные вещи с помощью фактора Лоренца.
Для начала, существует замедление времени. Предположим, вы смотрите на часы внутри космического корабля, который удаляется от вас со скоростью, равной половине скорости света ( c/2 ). Вы заметите, что часы идут медленнее, чем ваши собственные неподвижные часы. Длительность каждого такта в космическом корабле равна 1 секунде, умноженной на фактор Лоренца. При скорости, равной половине скорости света, секунда в космическом корабле будет длиться 1,15 секунды (что медленнее).
Быстро движущийся космический корабль также будет казаться более массовым, чем в состоянии покоя. Мы можем использовать тот же самый фактор Лоренца, умноженный на его «массу покоя», чтобы получить релятивистскую массу, которая в 1,15 раза больше.
Но что, если мы применим этот фактор Лоренца к чему-то медленному, например, к пуле, летящей со скоростью 1000 метров в секунду? Конечно, это быстро по сравнению с бейсбольным мячом (питчер элитного класса может бить со скоростью 45 метров в секунду), но по сравнению со скоростью света (300 миллионов метров в секунду) это ничтожно. Это означает, что v²/c² практически равно нулю, а фактор Лоренца пули практически равен 1. Так что, в некотором смысле, даже медленно летящий софтбольный мяч имеет релятивистскую массу. Она просто настолько близка к массе покоя, что вы её не заметите.
Источник: www.wired.com





























