Image

Вредители и хищные муравьи: сложная динамика взаимодействия

d0a56bf8b3f1b86515c3e4c23c04dced

С самых первых дней изучения биологии или естествознания нам рассказывают о взаимодействии видов, пищевых цепочках и иерархий. Классический пример: трава, кролики и волки. Если волков исключить из уравнения, то кролики будут размножаться и съедят всю траву и будут потом голодные; если исключить траву, то кролики вымрут и волки будут голодные; если исключить кроликов, то трава разрастется, а волки будут голодными. Этот крайне утрированный пример показывает тесную взаимосвязь всего живого, связь, которую порой крайне сложно описать четким математическим языком. Несмотря на устоявшуюся структурированность, которую мы приписываем межвидовому взаимодействию, оно куда ближе к хаосу, чем к порядку. Группа ученых из Мичиганского университета (Анн-Арбор, Мичиган, США) провели любопытное исследование трех враждующих видов муравьев и хищных мух, которое показало всю сложность попыток какого-либо предсказания динамики их взаимодействия. Что именно удалось установить ученым, какие методы были использованы, и как данное исследование связано с сельским хозяйством? Ответы на эти вопросы мы найдем в докладе ученых.

Основа исследования

Сокращение биоразнообразия становится все более важной проблемой по мере того, как мы начинаем понимать потенциальные функциональные роли этого биоразнообразия. Например, в сельскохозяйственных системах широко распространено мнение, что биологический контроль вредителей более эффективен, когда задействован набор контролирующих агентов, а не один вид. Будь то в производственных системах, таких как сельское хозяйство, или в природных экосистемах, биоразнообразие важно, и его сокращение вызывает опасения. Хотя усилия по пониманию такого сокращения были сосредоточены преимущественно на прямых эффектах изменений фоновых условий окружающей среды, появилась более недавняя литература, признающая, что эти фоновые условия могут иметь более косвенное воздействие, изменяя сетевые структуры экологических взаимодействий, тем самым косвенно вызывая изменения, которые, возможно, не ожидались посредством знания прямых реакций только на фоновые переменные среды. Следовательно, сосредоточение на определенных режимах сетевой структуры, возможно, является ключом к качественному пониманию динамики биоразнообразия, необходимому для составления значимых прогнозов и установления приоритетов сохранения и других методов управления.

Особенно очевидным структурным компонентом многих экологических сообществ является простая конкурентная иерархия. Несмотря на споры о ее эмпирической важности, существует очевидный факт: если конкуренция сильна и иерархична, один вид будет доминировать в долгосрочной перспективе. Хищничество (или травоядность, патогены, паразитоиды и т. д.) является одним из механизмов, предложенных для предотвращения этого теоретически неизбежного конкурентного исключения. Хищник, воздействующий на доминирующего конкурента, может ослабить его конкурентное влияние, тем самым не давая ему исключить все другие виды, что обычно называют опосредованным хищником и называют гипотезой «краеугольного хищника».

Альтернативной сетевой структурой конкурентной иерархии является нетранзитивная конкуренция, которая была задокументирована в природе по крайней мере в нескольких случаях, включая один с муравьями. Она также была предложена в качестве механизма прерывания теоретической неизбежности конкурентного исключения, гипотезы «краеугольного камня нетранзитивности». Основная идея заключается в том, что доминирующий вид конкурентной иерархии (то, что называется «хвостом») связан посредством конкуренции с нетранзитивной структурой, и благодаря этой связи транзитивный хвост может сохраняться, по крайней мере, в течение более длительного периода, чем если бы он не был связан с нетранзитивной структурой.

Каждая из гипотез (гипотеза «хищника» или «нетранзитивности») сама по себе может спасти субдоминирующего конкурента. Что еще важнее, их объединение переносит их в область более широкой концепции связанных осцилляторов. Поскольку и системы «хищник/жертва», и нетранзитивная конкуренция являются осцилляторными, то, если они связаны, они должны в какой-то степени подчиняться общим правилам связанных осцилляторов со всей вытекающей из этого сложностью, включая хаотическое поведение, которое возникает из этой структуры.

3f2a6338ae79ead42e306012ee830bcd

Изображение №1

Примером для этой работы послужила серия наблюдений за естественной историей системы из четырех неместных видов муравьев и неместных хищников (паразитоидных мух) одного из них на кофейных плантациях в Пуэрто-Рико, «новой экосистеме». Красный огненный муравей (Solenopsis invicta) является сильным конкурентом для малого огненного муравья (Wasmannia auropunctata) и африканского большеголового муравья (Pheidole megacephala); и W. auropunctata также является сильным конкурентом для P. megacephala, образуя классическую транзитивную конкурентную иерархию, где S. invicta является главным конкурентом (1A). Эта транзитивная иерархия зависит от паразитоидных мух, которые нападают на S. invicta, доминирующего конкурента, возможно, выступая в качестве ключевых хищников, предотвращающих вымирание двух субдоминантных видов (1B). Кроме того, S. Invicta и W. auropunctata участвуют в нетранзитивной конкурентной триаде с цветочным муравьем (Monomorium floricola) (1C). Их общие динамические взаимодействия хорошо изучены. Две системы, нетранзитивная триада и транзитивная иерархия, связаны через S. invicta, компонент обеих систем, и подвержены влиянию паразитоидных мух, которые атакуют S. invicta (1D).

Паразитоидные мухи относятся к семейству Phoridae. Два вида, Pseudacteon tricuspus и P. curvatus, были завезены в Пуэрто-Рико специально в попытке контролировать инвазивный S. invicta. В дополнение к этим двум видам, также были найдены P. obtusus на исследуемом участке. На основании предыдущих работ можно сделать вывод, что при атаке форид наблюдается очевидное снижение конкурентоспособности S. invicta, что приводит к появлению в системе взаимодействий более высокого порядка (1E).

Детали межвидовой системы

Вся система состоит из трех отдельных динамических единиц:

  1. нетранзитивного конкурентного триплета с тремя видами муравьев;

  2. конкурентной иерархии с тремя видами муравьев;

  3. специализированного хищника (фактически, трех видов паразитоидных мух, которых ученые рассматривают как единое целое), атакующего один из видов муравьев.

Базовая качественная естественная история системы определяет общую динамическую структуру, которая затем формулируется в виде системы дифференциальных уравнений, призванной служить упрощенной моделью реальной системы. Ниже представлены те детали естественной истории, которые необходимы для понимания качественной природы динамических процессов, определяющих сетевую структуру системы.

S. invicta является родным для региона Пантанал в Южной Америке. Он был замечен в Пуэрто-Рико с 1980-х годов, где, по-видимому, вытеснил местного S. geminata. Структура его гнезда во многом определяет его поведение в поисках пищи (важный компонент его конкурентоспособности). Выводковые камеры построены над землей, но рабочие добывают корм через неглубокие подземные туннели, которые простираются до десяти метров в каждом направлении от гнезда, таким образом, охватывая площадь приблизительно 30 м2. Но не вся эта область находится под постоянным наблюдением. Подземные туннели иногда образуют выходные отверстия, через которые группы рабочих-добытчиков выходят, чтобы добывать корм на поверхности земли, часто добывая корм на растительности. Таким образом, в районе, где доминирует S. invicta, поверхность земли обычно заполнена пятнами рабочих-добытчиков, сосредоточенными вокруг каждого из этих отверстий для добычи корма. Было отмечено, что другие виды (включая P. megacephala) могут использовать пространства между выходами кормовых нор как области, свободные от нападений со стороны крайне агрессивного S. invicta, что имеет очевидные последствия для межвидовой конкуренции.

Этот вид подвергается нападению по меньшей мере трех видов паразитоидных мух в Пуэрто-Рико, которые, как сообщается, снижают способность муравьев эффективно добывать корм и, таким образом, снижают их конкурентные преимущества, фактически выступая в роли ключевых хищников. Эти мухи специализируются на этом виде Solenopsis.

W. auropunctata либо давно натурализовавшийся вид в Пуэрто-Рико, либо был недавно завезен из своей родной Южной и Центральной Америки. Его привычки гнездования широки, включая опавшие листья, мертвые ветки, под гнилой древесиной и камнями, в домациях растений, в расщелинах деревьев и в скрученных листьях в кронах деревьев. Ученые никогда не видели гнезда W. auropunctata, вырытого в почве. Они добывают пищу от земли до верхушек деревьев в сухих и влажных районах — от уровня моря и как минимум до 1000 м над уровнем моря — и считается, что расширяют свой ареал главным образом за счет дублирования колоний, а не брачных вылетов. При таких широких привычках в поиске пищи и гнездовании возникает перекрытие в конкурентно значимых аспектах с другими видами муравьев в системе.

Monomorium floricola, обитающий в Южной и Юго-Восточной Азии, является древесным гнездящимся муравьем, который проявляет легко наблюдаемое агрессивное поведение по отношению к S. invicta, очевидно, распыляя на последнего вещество из его анального кончика (прямые наблюдения) и с помощью этого механизма может вытеснять его с ресурса, на котором он обосновался. Из-за своих привычек гнездования и поиска пищи M. floricola очень редко сталкивается с P. megacephala, но оказывает косвенное влияние через свою ассоциацию с S. invicta и W. auropunctata, тремя видами, образующими нетранзитивную конкурентную петлю и действующими как краеугольный камень нетранзитивности в отношении персистенции P. megacephala.

Pheidole megacephala родом из Африки, но в настоящее время широко распространена по всем тропикам. Колонии полигинны, не имеют четких границ, основанных на феромонах, и могут достигать очень больших размеров. В некоторых районах они образуют мегаколонии, которые, как сообщается, иногда исключают большинство других колоний муравьев. P. megacephala гнездится в земле, а рабочие муравьи по отдельности кормятся на поверхности в кормовой зоне, простирающейся примерно на 4-5 м в каждую сторону от входа в гнездо, что, вероятно, зависит от общего размера колонии. Вблизи своих гнезд рабочие также могут добывать корм на деревьях. В экспериментах с небольшими ресурсами (мертвые личинки термита Nasutitermes corniger) особи P. megacephala быстро находят личинку, и один рабочий муравей удаляет ее сразу же после обнаружения, в отличие от большинства других муравьев в системе (включая S. invicta и W. auropunctata), которым трудно удалить одну личинку термита без помощи рабочих коллег. В случае более крупных ресурсов (мертвые позвоночные, крупные мертвые членистоногие) P. megacephala вытесняется как W. auropunctata, так и S. invicta.

В типичных районах с доминированием W. auropunctata другие виды муравьев редки или отсутствуют. Рабочие муравьи Wasmannia очень распространены на земле, и набор рабочих для ресурсов, слишком больших для переноски одним муравьем, происходит довольно быстро. В условиях прямой конкуренции он способен убивать рабочих P. megacephala, особенно когда последние представлены только второстепенными рабочими. Наблюдения как за роевым поведением на крупных ресурсах (с использованием куска консервированного тунца в масле диаметром 1 см), так и за поведением при удалении мелких ресурсов (мертвые личинки термита N. corniger) в зависимости от расстояния до гнезда P. megacephala, иллюстрируют различные закономерности в зависимости от того, где расположено гнездо P. megacephala. Особенно примечательно почти полное отсутствие гнезд P. megacephala в районах с доминированием W. auropunctata. Однако ученым удалось обнаружить одно такое гнездо. Сравнивая время удаления мертвой личинки термита в районе обитания W. auropunctata с районом, где W. auropunctata не обитает, становится ясно, что эффективность добывания пищи P. Megacephala снижается в присутствии W. auropunctata, что подтверждает отмеченное конкурентное доминирование W. auropunctata над P. megacephala.

34b6c4373a0d624ade0f625587e3a8d3

Изображение №2

В областях, где доминирует S. invicta, P. megacephala имеет тенденцию проигрывать в конкуренции за большие ресурсы, но этот конкурентный результат меняется, когда присутствуют форидные мухи, как предполагает детальное исследование вблизи одного гнезда P. megacephala в области, где доминирует S. invicta (графики выше). Примерно в течение первых 25 минут после размещения приманок P. megacephala доминирует на всей территории, в то время как S. invicta медленно наращивает свою численность. Естественно, что и фориды медленно наращивают свою численность, поскольку их видно только тогда, когда они нападают на стаи S. invicta. По мере увеличения плотности S. invicta численность P. megacephala резко снижается, предположительно из-за агрессивного поведения первой. Затем, по мере увеличения активности форид, S. invicta стабилизируется, возможно, немного успокаивается, и P. megacephala возвращается почти к тому же уровню активности, что и в начале наблюдений. Тот факт, что мухи изменяют поведение S. invicta, давно известен для этого и других видов муравьев. Взаимодействие этих видов в течение длительного времени в одном конкретном месте подтверждает предположение о том, что конкурентный эффект S. invicta против P. megacephala подавляется активностью паразитоидных мух.

Математическая модель

Математик Стивен Смейл давно предупредил экологов-теоретиков:

…обычные дифференциальные уравнения, используемые в экологии для описания конкурирующих видов, мало что говорят, если число видов больше трех или четырех. На самом деле, эти уравнения совместимы с любым динамическим поведением…

Хотя такое высказывание ясно, использование конкретных качественно наблюдаемых природных структур и уравнений приведения для представления таких структур является одним из способов ограничения путей, которыми может возникнуть «любое динамическое поведение». Одно из ограничений, накладываемых на качественную природу конкурентной сети, состоит в том, что мы извлекаем из литературы и прямых наблюдений в естественных условиях обобщенные структуры:

  1. конкурентная иерархия (1A);

  2. ключевой хищник (1B);

  3. ключевая нетранзитивность (1C);

  4. совместное действие хищника и нетранзитивности (1D);

  5. более высокоуровневый эффект хищника на конкурентоспособность его жертвы (1E).

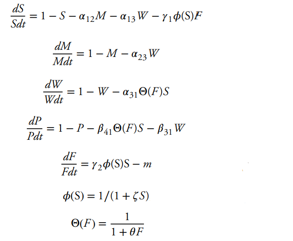
Истинная конкурентная иерархия (как в случае с P. megacephala, S. invicta и W. auropunctata), если конкурентные эффекты достаточно сильны, неизбежно приведёт к устранению P. megacephala (а в конечном счёте и W. auropunctata тоже). Однако в исследуемую систему также входят форида-паразитоиды, которые атакуют S. invicta. Ученые представляем эту качественную структуру в виде обобщенной системы Лотки–Вольтерры, а именно:

46854fd90c6396eff18a5836ef9ecd97

Где плотности популяций (или биомасса) обозначены так: S — для S. invicta, M — для M. floricola, W — для W. auropunctata, P — для P. megacephala, и F — для мух-форид, а α и β — коэффициенты конкуренции. Термин функционального отклика равен 0, если система хищник–жертва имеет устойчивую точку равновесия, или > 0, если существует возможность предельного цикла. Термин косвенного взаимодействия равен 0, когда S. invicta не демонстрирует изменений в ответ на атаки мух-форид. Конкретные значения параметров (> 0) были выбраны исходя из того, что граф модели системы в природе имеет в целом направленный характер (например, M конкурентно воздействует на S, но обратное неверно).

81e4b33f803d042a38724b2d8ec27b0d

Изображение №3

Для одного набора параметров выше показан временной ряд всей системы, где проявляется основной качественный момент: любой из ключевых эффектов по отдельности способен «спасти» конкурентно подчиненный вид P. megacephala. На 3A показано четырехмерное равновесие в фокусе, а на 3B — предельный цикл. В любом из случаев — ключевая нетранзитивность (3A) или ключевое хищничество (3B) — при правильном выборе параметров может возникнуть либо фокус, либо предельный цикл. Иными словами, любой из ключевых механизмов может «спасти» P. megacephala.

Когда оба механизма действуют совместно (1D), обычно происходит одно из двух: либо M. floricola исчезает, и система оказывается фактически контролируемой ключевым хищником, либо исчезают форида, и система становится фактически контролируемой ключевой нетранзитивностью. Тем не менее существуют такие значения параметров, при которых четырехмерная система сохраняется либо в виде устойчивого фокуса (как на 3C), либо в виде предельного цикла. Поскольку эта система представляет собой совокупность связанных осцилляторов, ожидается, что существует такая комбинация параметров, которая приведет к возникновению хаоса. Однако ученым не удалось обнаружить эту точку в отсутствие высокоуровневого эффекта.

2eaaa2a58744a1e71d52d00ec0c6fe47

Изображение №4

При добавлении нелинейного эффекта хищника (т. е. θ > 0, 1E) хаотические структуры возникают в широком диапазоне пространства параметров (графики выше). Общий вывод из этих и других симуляций заключается в том, что любой из ключевых эффектов (хищник или нетранзитивная конкуренция) сам по себе может «стабилизировать» систему, но возникновение хаоса (4D) зависит от эффекта более высокого порядка, как показано на бифуркационной диаграмме выше (изменение θ и наблюдение локальных максимумов и минимумов P). Кажется общим (из обширных симуляций), что возникновение хаоса зависит от эффекта более высокого порядка (т. е. косвенного, опосредованного признаками) форид на конкурентоспособность S. invicta.

760ef86afb9c88a23609325caad1295e

Изображение №5

На бифуркационной диаграмме виден диапазон θ, который производит хаотическое поведение. Стоит обратить внимание также на несколько кажущихся «окон» кажущихся периодическими точек, сложность которых поразительна, хотя и нехаотична. При исследовании одного из этих окон, θ = 2.25, становится ясно, что общая динамика, по-видимому, переключается с доминирования нетранзитивной системы на доминирование системы хищник-жертва, регулярно повторяющийся мотив (графики выше). Переходя либо к большим, либо к меньшим значениям эффекта более высокого порядка (т. е. θ, отклоняющегося от 2.25), наблюдается очень похожее качественное поведение, но хаотическое (т. е., строго говоря, не периодическое).

Стоит рассмотреть, является ли это сложностью колебаний, которая заслуживает внимания, или, скорее, тем фактом, что они хаотичны. Действительно, ученые предполагают, что это наглядный пример того, как, хотя сама система может быть хаотичной, элементарное качественное понимание базовых элементов, составляющих этот хаос, в некоторой степени проясняет сам хаос. Хотя хаос делает невозможным делать конкретные прогнозы из-за чувствительной зависимости от начальных условий, можно интерпретировать реальные траектории как чередование паттернов колебаний хищник/жертва (более длинные траектории) с нетранзитивными конкурентными колебаниями (более короткие траектории).

f169218429787ce446997e5d7f51738d

Изображение №6

Пристальный взгляд на детали хаоса в модели выявляет структуру внутри хаоса. Модельные траектории вблизи центрального периодического окна в хаотической зоне (изображение №3) выявляют закономерность в хаосе, и эта закономерность сама по себе отражает общую динамику 1) ключевого хищника, управляющего системой, чередующегося с 2) ключевой нетранзитивностью, управляющей системой, двух исходных модальностей, введенных в модель в начале. С этим пониманием упрощенной модели ученые изучили пространственно явные данные из долгосрочного исследования на одной ферме. Это исследование обнаружило пространственную закономерность, являющуюся прямым следствием базового нетранзитивного триплета (более десяти шестимесячных периодов выборки). Однако спустя пять лет наблюдалось кажущееся отклонение от базовой нетранзитивной структуры на одной части участка мониторинга. Как показано выше, по-видимому, действуют два отдельных динамических процесса, разделенных всего примерно 100 м. На левой стороне графика S. invicta продолжает свою экспансию на территорию, ранее занимаемую W. auropunctata (что и ожидалось из-за нетранзитивности), и посещается в основном самцами форид (Pseudacteon spp.). На правой стороне графика W. auropunctata расширяется на территорию, ранее занимаемую S. invicta (вопреки своему положению в нетранзитивном триплете), а S. invicta подвергается нападению в основном самок форид. Тщательные наблюдения в полевых условиях показывают, что самцы форид мало влияют на поведение S. invicta, в то время как более крупные самки генерируют сильное оборонительное поведение, вероятно, ответственное за хорошо известное вмешательство в конкурентный потенциал S. invicta.

По крайней мере на 2024 год, когда было проведено последнее наблюдение, видна картина, соответствующая схеме, предложенной упрощённой моделью: реальная система может находиться в хаотическом состоянии, при котором режим ключевого хищника действует в правой части графика, тогда как ключевая нетранзитивность продолжает действовать в левой части графика.

Для более детального ознакомления с нюансами исследования рекомендую заглянуть в доклад ученых и дополнительные материалы к нему.

Эпилог

В рассмотренном нами сегодня труде представлен результат кропотливой работы и длительных наблюдений (порядка 3 лет) ученых, изучавших взаимодействие трех видов муравьев и паразитоидных мух на кофейных плантациях Пуэрто-Рико.

Ученые показали, что здесь сталкиваются два ключевых механизма: своеобразная «нетранзитивная игра в камень-ножницы-бумагу» между муравьями и давление со стороны хищника-паразита. Вместе они создают систему, динамика которой далека от равновесия и часто напоминает хаос. Доминирование видов в такой системе меняется волнообразно: сегодня верх берет один вид, завтра — другой, и предсказать, кто будет лидировать через месяц или год, практически невозможно.

Тем не менее именно эта хаотичность может играть важную роль в поддержании баланса. В условиях сельского хозяйства, где традиционно полагаются на пестициды, подобные природные механизмы открывают новые перспективы. Если научиться понимать закономерности этих взаимодействий, можно будет использовать их для биологического контроля вредителей, уменьшая химическую нагрузку на плантации.
Таким образом, исследование не только проливает свет на фундаментальные принципы динамики экосистем, но и показывает, что даже хаос способен служить источником устойчивости — если рассматривать его не как угрозу, а как естественную форму организации жизни.

Немного рекламы

Спасибо, что остаётесь с нами. Вам нравятся наши статьи? Хотите видеть больше интересных материалов? Поддержите нас, оформив заказ или порекомендовав знакомым, облачные VPS для разработчиков от $4.99, уникальный аналог entry-level серверов, который был придуман нами для Вас: Вся правда о VPS (KVM) E5-2697 v3 (6 Cores) 10GB DDR4 480GB SSD 1Gbps от $19 или как правильно делить сервер? (доступны варианты с RAID1 и RAID10, до 24 ядер и до 40GB DDR4).

Dell R730xd в 2 раза дешевле в дата-центре Maincubes Tier IV в Амстердаме? Только у нас 2 х Intel TetraDeca-Core Xeon 2x E5-2697v3 2.6GHz 14C 64GB DDR4 4x960GB SSD 1Gbps 100 ТВ от $199 в Нидерландах! Dell R420 — 2x E5-2430 2.2Ghz 6C 128GB DDR3 2x960GB SSD 1Gbps 100TB — от $99! Читайте о том Как построить инфраструктуру корп. класса c применением серверов Dell R730xd Е5-2650 v4 стоимостью 9000 евро за копейки?

Источник: habr.com

Каталог бесплатных опенсорс-решений, которые можно развернуть локально и забыть о подписках

галерея

ИИ почти всех обгонит? Прогнозы звучат громко, но есть нюансы…
Компания Anthropic получила от Amazon 5 миллиардов долларов и в обмен пообещала инвестировать 100 миллиардов долларов в облачные сервисы.
dummy-img
Загрузка: обход банковских систем кибермошенниками и проблемы с удалением углерода.
Загрузка: обход банковских систем кибермошенниками и проблемы с удалением углерода.
dummy-img
dummy-img
Взаимодействие человека и машины погружается под воду.
Взаимодействие человека и машины погружается под воду.
Image Not Found
Компания Anthropic получила от Amazon 5 миллиардов долларов и в обмен пообещала инвестировать 100 миллиардов долларов в облачные сервисы.

Компания Anthropic получила от Amazon 5 миллиардов долларов и в обмен пообещала инвестировать 100 миллиардов долларов в облачные сервисы.

Вкратце Опубликовано: Изображение предоставлено: Thos Robinson/Getty Images для The New York Times (откроется в новом окне) Джули Борт Компания Anthropic получила от Amazon 5 миллиардов долларов и в обмен пообещала инвестировать 100 миллиардов долларов в облачные сервисы.…

Апр 21, 2026
dummy-img

Как почистить виниловые пластинки (2026): пылесос, ультразвук, чистящий раствор, щетка.

Эти щелчки и треск недопустимы. Приведите свою музыку в порядок с помощью этого удобного руководства. Источник: www.wired.com

Апр 21, 2026
Загрузка: обход банковских систем кибермошенниками и проблемы с удалением углерода.

Загрузка: обход банковских систем кибермошенниками и проблемы с удалением углерода.

Это сегодняшний выпуск The Download, нашей ежедневной новостной рассылки, которая предоставляет вам ежедневную порцию событий в мире технологий. Кибермошенники обходят системы безопасности банков с помощью незаконных инструментов, продаваемых в Telegram. В центре по отмыванию денег в Камбодже…

Апр 21, 2026
Загрузка: обход банковских систем кибермошенниками и проблемы с удалением углерода.

Загрузка: обход банковских систем кибермошенниками и проблемы с удалением углерода.

Это сегодняшний выпуск The Download, нашей ежедневной новостной рассылки, которая предоставляет вам ежедневную порцию событий в мире технологий. Кибермошенники обходят системы безопасности банков с помощью незаконных инструментов, продаваемых в Telegram. В центре по отмыванию денег в Камбодже…

Апр 21, 2026

Впишите свой почтовый адрес и мы будем присылать вам на почту самые свежие новости в числе самых первых