Захватывающая концепция замедления времени возникает из, казалось бы, безобидного предположения, что скорость света одинакова для всех наблюдателей.
Сохранить эту историю Сохранить эту историю
Итак, вы едете на машине со скоростью, равной половине скорости света. (Обе руки на руле, пожалуйста.) Вы включаете фары. С какой скоростью, по вашему мнению, движется этот свет? А если посмотреть на человека, стоящего у дороги? Увидит ли он луч света, движущийся со скоростью, в 1,5 раза превышающей скорость света? Но это же невозможно, верно? Нет ничего быстрее света.
Да, это кажется сложным. Проблема в том, что наши представления о мире основаны на нашем опыте, а опыта в движении на такой скорости у нас не так уж много. Ведь скорость света составляет 3 x 108 метров в секунду, число, которое мы обозначаем буквой c . Это 670 миллионов миль в час, друг, и на экстремальных скоростях всё становится странным.
Оказывается, и водитель, и человек на дороге будут считать, что свет движется с одинаковой скоростью c . Движение источника света (автомобиля) и относительное движение наблюдателей не имеют значения. Альберт Эйнштейн предсказал это в 1905 году, и это один из двух основных постулатов его специальной теории относительности.
О, вам это не кажется таким уж «особенным»? Ну, а затем он показал, что если скорость света — универсальная константа, то время относительно. Чем быстрее вы движетесь в пространстве, тем медленнее вы движетесь во времени. Часы на гиперскоростном космическом корабле будут буквально тикать медленнее, и если бы вы были на этом корабле, вы бы старели медленнее, чем ваши друзья дома. Это называется замедлением времени.
Пример здравого смысла
Идея о том, что все видят свет, движущийся с одинаковой скоростью, кажется очевидной. Но давайте рассмотрим более привычную ситуацию, и вы увидите, что обычно всё происходит не так. Допустим, вы едете со скоростью 10 метров в секунду, и кто-то в машине берёт теннисный мяч и бросает его вперёд со скоростью 20 метров в секунду. Прохожий, у которого случайно оказался радар, измеряет скорость мяча. Какие показания он получает?
Нет, НЕ 20 м/с. Для них мяч движется со скоростью 30 м/с (то есть 10 + 20). Вот вам и здравый смысл. Разница возникает из-за того, что они ведут измерения в разных «системах отсчёта»: одна движущаяся, другая неподвижная.
Но всё в порядке: все согласны с результатом. Если мяч попадёт в человека, злодеи и прохожие рассчитают одинаковое время удара. Да, люди в машине видят, что мяч летит медленнее, но они также видят, что прохожий движется к ним (с их точки зрения), так что в итоге всё складывается одинаково.
Это другой основной постулат специальной теории относительности: физические процессы одинаковы для всех систем отсчёта, а точнее, для всех «инерциальных», или неускоряющихся, систем. Наблюдатели могут двигаться с разными скоростями, но эти скорости должны быть постоянными.
В любом случае, теперь, возможно, вы понимаете, почему на самом деле странно, что скорость света одинакова для всех наблюдателей, независимо от их движения.
Волны в пустом море
Как Эйнштейну пришла в голову эта безумная идея? Я покажу вам две причины. Первая заключается в том, что свет — это электромагнитная волна. Физики давно знали, что свет ведёт себя как волна. Но волнам нужна среда, чтобы «распространяться». Океанским волнам нужна вода; звуковым — воздух. Уберите среду, и волны не будет.
Но тогда через какую среду проходит солнечный свет, путешествуя в пространстве? В XIX веке многие физики считали, что в космосе должна быть среда, и называли её светоносным эфиром, потому что это забавно.
В 1887 году Альберт Майкельсон и Эдвард Морли придумали хитроумный эксперимент по обнаружению этого эфира. Они построили устройство, называемое интерферометром, которое разделяло луч света пополам и посылало половинки по двум путям одинаковой длины, отражаясь от зеркал и снова сливаясь в детекторе, вот так:
Конечно, у них не было лазера, но был похожий источник света. Если бы Земля, вращаясь вокруг Солнца, двигалась сквозь эфир, этот эфир менял бы скорость света в зависимости от того, двигался ли свет в направлении движения Земли или под прямым углом к этому движению.
И вот в чём гениальность: им не нужно было измерять скорость света, достаточно было лишь проверить, одновременно ли два луча достигают детектора. Если бы скорость хоть немного изменилась, лучи рассинхронизировались бы и гасили бы друг друга при рекомбинации. Эта интерференция проявилась бы на детекторе как тёмное пятно. Если бы они двигались с одинаковой скоростью, синусоидальные волны выстроились бы в линию, и мы бы увидели яркое пятно.
Они проводили этот эксперимент в разное время года, чтобы получить разные углы относительно Солнца, но результат всегда был одинаковым. Скорость не менялась, а это, к сожалению, означало, что людям пришлось перестать говорить «светоносный эфир». Очевидно, световые волны могут распространяться в вакууме!
Уравнения Максвелла и системы отсчета
Причина этого, как доказал Генрих Герц, заключается в том, что свет представляет собой электромагнитную волну — колебание электрического и магнитного полей, перпендикулярных друг другу. Изменение электрического поля создаёт магнитное поле, а изменение магнитного поля создаёт электрическое поле, и этот бесконечный цикл делает свет самораспространяющимся. Он может распространяться в пустом пространстве, поскольку представляет собой две волны в одной.
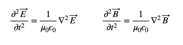
Теперь перейдём к грубым математическим расчётам. Мы знаем взаимосвязь между электрическим и магнитным полями — она описана знаменитыми четырьмя уравнениями Максвелла. Если вы немного знакомы с математикой (подробнее здесь), то можете записать следующие уравнения для электрического ( E ) и магнитного ( B ) полей. (Если все эти греческие символы кажутся вам греческими, просто пропустите этот раздел.)
Всё, что вам нужно знать, — это то, что вместе эти уравнения описывают электромагнитную волну. Но подождите! Это ещё не всё. Если подставить значения μ0 и ε0 — фундаментальные магнитные и электрические постоянные соответственно, — вы получите скорость волны ( v — скорость), которая в точности равна скорости света:
Эйнштейн использовал это, чтобы постулировать, что скорость света одинакова для всех наблюдателей. Как? Поскольку мы приняли, что любая инерциальная система отсчёта равноценна другой, уравнения Максвелла должны работать в обеих. Это означает, что скорость света одинакова в обеих системах отсчёта, даже если они движутся друг относительно друга. В ОТЛИЧИЕ ОТ описанного выше сценария с теннисным мячом!
Замедление времени
Наконец, представьте, что мы создаём часы для измерения времени. Не те, что были у вашего дедушки с качающимся маятником, который был бы проблемой в невесомости. Наши часы холоднее. По сути, мы берём два параллельных зеркала и отражаем между ними импульс света.
Если мы знаем расстояние между зеркалами ( s ) и скорость света (а она у нас есть, она равна c ), то мы можем вычислить время одного тика.
Теперь предположим, что наши часы находятся в космическом корабле с большим иллюминатором, как в кино. Этот корабль движется с постоянной скоростью, составляющей половину скорости света ( c /2), относительно какой-то ближайшей планеты. Кто-то на этой планете смотрит в телескоп через иллюминатор и видит световые часы. Вот что увидит этот человек:
Обратите внимание: поскольку космический корабль движется, свет должен пройти под углом, чтобы попасть в другую точку на противоположном зеркале. Если продолжить этот процесс, получится ряд зигзагов. Подумайте об этом минутку.
Это как если бы вы ехали в автобусе и подбросили мяч вертикально вверх, а затем поймали его, не двигая рукой. В вашей системе отсчёта мяч просто движется прямо вверх и вниз. Но для того парня на улице мяч описывал бы дугу, двигаясь вверх и вниз, но также вперёд.
В наших световых часах, поскольку свет должен лететь под углом, чтобы попасть в нужную точку, он проходит большее расстояние. Но этот свет всё ещё движется со скоростью света, поэтому ему требуется больше времени, чтобы достичь другого зеркала. А если космический корабль движется со скоростью c/2, это займёт гораздо больше времени. Результат? С точки зрения человека на планете, часы космического корабля идут медленнее. Вот вам и замедление времени.
Означает ли это, что для людей на космическом корабле время идёт медленнее? Нет. В их системе отсчёта свет просто отражается вверх и вниз, и время идёт как обычно.
Да, это кажется очень странным, но это не так. Это кажется странным только потому, что мы никогда не движемся со скоростью, близкой к скорости света. На самом деле, время замедляется в любом движущемся транспортном средстве — даже когда вы садитесь в машину и едете на работу, — но на обычной скорости этот эффект настолько мал, что незаметен.
Источник: www.wired.com






























