хотите узнавать новости самыми первыми?
Впишите свой почтовый адрес и мы будем высылать вам новости в числе самых первых
Разница в зарплатах в IT: неудобная правда индустрии Женщины в IT часто зарабатывают меньше, но причина не только…
ChatGPT, Copilot и другие: помогают или делают ленивым? ИИ все активнее входит в мир разработки. Инструменты вроде ChatGPT,…
Почему многие разработчики боятся читать чужой код? Многие разработчики испытывают дискомфорт, когда приходится разбираться в чужом коде….
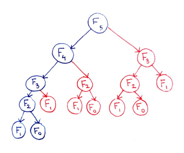
Нужно ли знать алгоритмы, чтобы работать программистом? Нужно ли программисту знать алгоритмы, чтобы работать в IT? Разбираемся, где…
Ресурс Windows Latest поделился с общественностью материалом о том, что компания Lenovo планирует в скором времени запустить новый…
Друзья, сегодня будет один из самых важных и, возможно, тяжелых разговоров. Мы коснемся того, что большинство называет приговором:…
Постоянное повышение стоимости оперативной памяти дало хотя бы один плюс. Как мы помним, AMD уведомила своих партнёров о…
Biwin оповестила пользователей о массовой доступности своего первого твердотельного накопителя Mini SSD CL100 в случае розничного рынка….
Google привлекла внимание экспертов в области искусственного интеллекта после выпуска новых моделей Gemini 3 и Nano Banana Pro,…
Менее недели назад появились сведения о том, что ASUS отзывает лимитированную видеокарту ROG Matrix Platinum GeForce RTX 5090…
К сожалению, результаты исследования могут быть использованы в военных целях европейскими милитаристами (но это видимо случится нескоро)….
Почему одни программисты зарабатывают в 5 раз больше других? Почему одни разработчики растут по зарплате в разы, а…
Компания Asgard выпустила два комплекта модулей оперативной памяти DDR5, вошедших в серии Thor и Valkyrie, но нас больше…
Российские ударные беспилотники «Герань», атаковавшие цели в Чернигове, оказались оснащены обновленными модулями автонаведения селекции…
Последние два дня радуют нас преждевременной демонстрацией возможностей интегрированной графики мобильных процессоров Intel Panther Lake….
Попросил Gemini 3 собрать самые интересные новости по теме нейронок, IT и т.д. за последний месяц, а после…
Официальный запуск семейства настольных процессоров Intel Arrow Lake Refresh не за горами: поддержка новинок уже реализована в нескольких…
«Мы в «Сбере» в этом году с помощью мультиагентной системы до 1 января закончим сокращение 20% персонала, который…
MSI поработала над расширением ассортимента игровых мониторов, добавив в него новую модель с наименованием MAG 274QP QD-OLED X24.…
И это понятно. Увидев эту новость банки буквально взвыли от страха массового отказа граждан от использования биометрических данных…
Продолжаем внимательно следить за утечками, затрагивающими центральный процессор AMD Ryzen 7 9850X3D. Вчера он показал свои возможности в…
На конференции 5 декабря, которая объединила исследователей из Саранска, Новосибирска, Красноярска, Челябинска, Москвы и других городов,…
Команда исследователей разработала новый контроллер для робота-жука, который позволяет ему выполнять гимнастические трюки в полёте,…
GPT-5.1-Codex-Max продвигает границу интеллекта и эффективности и является нашей лучшей моделью кодирования с агентами. Следуйте этому…
Всего за 199,99 ₽
Проверка по 120+ параметрам
Перспективы бизнеса — по цене чашки латте ☕

Впишите свой почтовый адрес и мы будем высылать вам новости в числе самых первых