Image

Может ли гидроэлектростанция действительно сделать дни длиннее?

Переместив воду на более высокие уровни, гигантская плотина «Три ущелья» заставила Землю вращаться медленнее.

GettyImages 2244298251 Фотография: информационное агентство «Синьхуа»/Getty Images Сохранить историю Сохранить эту историю Сохранить историю Сохранить эту историю

Сколько раз вы говорили: «Хотел бы я, чтобы дни были длиннее»? Что ж, учёные из НАСА утверждают, что строительство плотины «Три ущелья» в Китае действительно сделало дни длиннее, замедлив вращение Земли. Аллилуйя! Дополнительное время можно использовать, чтобы выучить новый язык, наверстать упущенное на работе или, что ещё лучше, поспать.

Это поднимает множество вопросов. Прежде всего, правда ли это? Действительно ли плотина увеличила наши дни? И если да, то почему? И о каком количестве дополнительного времени идёт речь? Ведь нужно же планировать свой график, верно? Стоит ли строить больше гигантских плотин, чтобы получить ещё больше времени?

Угловая скорость

Чтобы ответить на эти вопросы, нам понадобятся три основные физические понятия: (1) угловая скорость, (2) момент импульса и (3) момент инерции. Я объясню каждое из них.

Для начала небольшой эксперимент, который вы можете провести самостоятельно. Если у вас есть вращающееся кресло за столом, запустите его вращение, оторвав ноги от пола и сжав руки. Теперь, прежде чем вас вырвет, вытяните руки. Это же замедляет вас, верно? Вот вариант с человеком на вращающейся платформе:

0c32e11c4b4547d3aa3e7fb0ef5df7ad Видео: Ретт Аллейн

Скорость вращения — это то, что мы называем угловой скоростью и обозначаем греческой буквой омега ( ω ). Почему «угловая»? Ниже представлен двумерный пример. Представьте, что эта окружность имеет центр в координатной плоскости xy. Я провёл радиус ( R ) до точки на окружности, где он пересекает горизонтальную ось:

033e9a79895e992182571c6f914260f3 Иллюстрация: Ретт Аллейн

Теперь представьте, что эта точка движется по окружности против часовой стрелки. При этом линия радиуса движется подобно секундной стрелке на (обратных) часах, и в любой момент времени образует угол ( θ ) с осью x. Чем быстрее точка движется по окружности, тем быстрее меняется этот угол. Отсюда и «угловая скорость».

Точнее, ω определяется изменением угла ( Δθ ) за определённый промежуток времени ( Δt ). Таким образом, если вращающаяся девушка совершает один оборот за секунду, мы говорим, что её угловая скорость составляет 360 градусов в секунду, или, в радианах, 2π радиан в секунду.

На самом деле, вы знакомы с этим понятием по автомобилям. Частота вращения двигателя измеряется в оборотах в минуту. Речь идёт о том, сколько оборотов коленчатого вала совершает за минуту. Обычно это от 600 до 3000 оборотов в минуту для ответственных граждан.

Момент инерции

Инерция, по сути, то же самое, что и масса. Что делает масса в физике? Это свойство объекта, затрудняющее изменение его движения. Катить тяжёлый шар для боулинга гораздо сложнее, чем лёгкий бейсбольный. С другой стороны, остановить шар для боулинга тоже сложнее. Большая масса означает большее сопротивление изменениям — большую инерцию.

«Момент инерции» — это то же самое, но для вращательного движения. Допустим, у вас стоит автомобиль на брусьях. Если вы возьмёте шину и приложите крутящий момент, чтобы раскрутить её, вы увеличите её угловую скорость. Теперь проделайте то же самое с велосипедным колесом. Гораздо проще, правда? И оно будет двигаться быстрее, чем тяжёлое автомобильное колесо. Это потому, что у велосипедного колеса момент инерции меньше.

Мы знаем, что инерция тела зависит от его массы, но момент инерции ( I ) также зависит от того, где эта масса расположена относительно оси вращения. Допустим, у вас есть два колеса одинакового радиуса и массы, но у одного вся масса сосредоточена на внешней части колеса, а другое представляет собой просто сплошной диск. У диска большая часть массы расположена ближе к оси вращения, поэтому его момент инерции будет меньше. Понимаете, к чему это ведёт?

Угловой момент импульса

Есть ещё один момент, о котором стоит подумать: момент импульса ( L ). Он представляет собой произведение угловой скорости ( ω ) и момента инерции ( I ):

34ebdfc35f917c39e0d29271969059b2 Иллюстрация: Ретт Аллейн

Итак, если у нас есть система без внешних воздействий, например, человек, вращающийся на стуле без каких-либо усилий, момент импульса ( L ) постоянен. Мы говорим, что момент импульса сохраняется. Но взгляните на правую часть уравнения: при заданном значении L , если увеличить момент инерции ( I ), угловая скорость ( ω ) должна уменьшиться.

Плотины и дни

Итак, вернёмся к нашим исходным вопросам! Земля — изолированная вращающаяся система с постоянным моментом импульса. Это означает, что при изменении распределения массы на Земле изменится момент инерции, а это, в свою очередь, изменит угловую скорость.

Именно это и делает плотина. Вода стремится стекать вниз, в море, но плотина препятствует этому, поэтому она удерживает массу воды дальше от оси вращения Земли — словно вы расставляете руки во вращающемся кресле. Так что да, большая плотина действительно может изменить скорость вращения Земли!

А теперь самое интересное. Давайте посчитаем, насколько длиннее земные сутки из-за плотины «Три ущелья». Для начала, вот сильно преувеличенная диаграмма:

f2826d8972ab7e65600f1ddc9f0741ff Иллюстрация: Ретт Аллейн

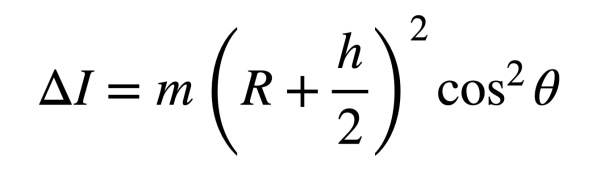
Плотина образует большой объём воды (который мы называем озером). Обратите внимание, что широта ( θ ) места строительства плотины определяет её удалённость от оси вращения планеты. По мере движения от Северного полюса к экватору это расстояние увеличивается. Поэтому, если вы хотите сделать день максимально длинным, помимо накопления воды на большой высоте, вам следует строить плотину вблизи экватора.

Хорошо, давайте вычислим изменение момента инерции ΔI . Его можно найти с помощью следующего уравнения. Не беспокойтесь о математике! Я просто хочу показать вам, как оно зависит от широты ( θ ), массы ( m ) и глубины ( h ) воды, а также радиуса Земли ( R ):

ae5b58918da3d0b5cdba2faafa8ba900 Иллюстрация: Ретт Аллейн

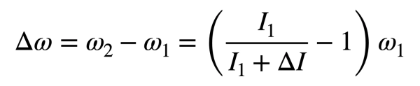
Нам нужно заполнить эти переменные реальными числами. К счастью, у нас есть Википедия. Таким образом, имея начальное значение момента инерции Земли ( I1 ), я могу использовать ΔI, указанное выше, чтобы найти изменение угловой скорости ( Δω ), вызванное плотиной:

fb185203bcd956e33ed0d5ce51872810

(Если вы хотите увидеть мои цифры и расчеты, все они находятся в этом коде Python.)

После подсчёта я получаю, что земные сутки длиннее на 5,3 x 10–6 секунды. Да, это на 5,3 микросекунды больше! Из-за наших упрощающих предположений это, вероятно, завышенная оценка, но увеличение реально. Согласен, за 5 миллионных секунды не так уж много можно сделать, но это показывает, что деятельность человека действительно может влиять на вращение планеты.

Это также означает, что есть множество других вещей, которые мы могли бы сделать, чтобы продлить день. Мы могли бы построить небоскрёбы по всем Великим равнинам. Или, чёрт возьми, мы могли бы просто заставить всех жителей Земли встать одновременно. Это также увеличило бы момент инерции и замедлило бы вращение Земли. Я как раз встаю из-за стола — не хотите присоединиться?

Источник: www.wired.com

✅ Найденные теги: Может, новости

ОСТАВЬТЕ СВОЙ КОММЕНТАРИЙ

Ваш адрес email не будет опубликован. Обязательные поля помечены *

Каталог бесплатных опенсорс-решений, которые можно развернуть локально и забыть о подписках

галерея

Фото сгенерированных лиц: исследование показывает, что люди не могут отличить настоящие лица от сгенерированных
Нейросети построили капитализм за трое суток: 100 агентов Claude заперли…
Скетч: цифровой осьминог и виртуальный мир внутри компьютера с человечком.
Сцена с жестами пальцами, где один жест символизирует "VPN", а другой "KHP".
‼️Paramount купила Warner Bros. Discovery — сумма сделки составила безумные…
Скриншот репозитория GitHub "Claude Scientific Skills" AI для научных исследований.
Структура эффективного запроса Claude с элементами задачи, контекста и референса.
Эскиз и готовая веб-страница платформы для AI-дизайна в современном темном режиме.
ideipro logotyp
Image Not Found
Звёздное небо с галактиками и туманностями, космос, Вселенная, астрофотография.

Система оповещения обсерватории Рубина отправила 800 000 сигналов в первую ночь наблюдений.

Астрономы будут получать оповещения о небесных явлениях в течение нескольких минут после их обнаружения. Теренс О'Брайен, редактор раздела «Выходные». Публикации этого автора будут добавляться в вашу ежедневную рассылку по электронной почте и в ленту новостей на главной…

Мар 2, 2026
Женщина с длинными тёмными волосами в синем свете, нейтральный фон.

Расследование в отношении 61-фунтовой машины, которая «пожирает» пластик и выплевывает кирпичи.

Обзор компактного пресса для мягкого пластика Clear Drop — и что будет дальше. Шон Холлистер, старший редактор Публикации этого автора будут добавляться в вашу ежедневную рассылку по электронной почте и в ленту новостей на главной странице вашего…

Мар 2, 2026
Черный углеродное волокно с текстурой плетения, отражающий свет.

Материал будущего: как работает «бессмертный» композит

Учёные из Университета штата Северная Каролина представили композит нового поколения, способный самостоятельно восстанавливаться после серьёзных повреждений.  Речь идёт о модифицированном армированном волокном полимере (FRP), который не просто сохраняет прочность при малом весе, но и способен «залечивать» внутренние…

Мар 2, 2026
Круглый экран с изображением замка и горы, рядом электронная плата.

Круглый дисплей Waveshare для креативных проектов

Круглый 7-дюймовый сенсорный дисплей от Waveshare создан для разработчиков и дизайнеров, которым нужен нестандартный экран.  Это IPS-панель с разрешением 1 080×1 080 пикселей, поддержкой 10-точечного ёмкостного сенсора, оптической склейкой и защитным закалённым стеклом, выполненная в круглом форм-факторе.…

Мар 2, 2026

Впишите свой почтовый адрес и мы будем присылать вам на почту самые свежие новости в числе самых первых