Даже самые лучшие телескопы не могут увидеть экзопланеты. Всё сводится к наблюдению за колеблющимися звёздами, синим смещением и транзитами.
Изображение, созданное художником, планеты Kepler-10b, покрытой лавой, в звёздной системе Kepler-10, расположенной примерно в 725 световых годах от нас. Иллюстрация: Николас Фордер; Getty Images. Сохранить эту историю Сохранить эту историю
Почти сто лет назад Клайд У. Томбо открыл Плутон. Это была последняя обнаруженная планета до 1992 года, когда человечество обнаружило ещё одну. Но эта новая планета находилась не в нашей Солнечной системе — она вращалась вокруг другой звезды. Мы называем её экзопланетой.
С тех пор астрономы каталогизировали более 6000 экзопланет. Если вам казалось сложным запомнить названия наших планет, попробуйте запомнить названия всех планет, например, HD 189733b. (Веселое место, где идет дождь из расплавленного стекла, а ветер дует со скоростью 9000 километров в час.)
Даже ближайшие экзопланеты находятся на расстоянии более 4 световых лет (36 триллионов миль), что делает маловероятным наше посещение хотя бы одной из них — так зачем же это нужно? Причина в том, что это помогает нам ответить на извечный вопрос: одиноки ли мы во Вселенной? Насколько нам известно, для существования жизни необходима планета, и сейчас идёт гонка за поиском планеты с земными характеристиками.
Почему их так трудно найти?
Проблема в том, что нельзя просто взять свой лучший телескоп и начать рассматривать небо. Телескопы обладают ограниченной разрешающей способностью — наименьшим угловым размером, который они могут «увидеть». Для космического телескопа «Хаббл» это 0,05 угловой секунды, что невероятно мало — примерно 1/72 000 градуса. Телескоп «Хаббл» смог разглядеть гигантскую планету размером с Юпитер на расстоянии 590 миллиардов километров. Это потрясающе, но это всего лишь 0,06 светового года, а ближайшая звезда, Проксима Центавра, находится на расстоянии 4,25 световых лет.
Ещё одна проблема — тусклость планет. Конечно, Юпитер легко увидеть на нашем ночном небе благодаря солнечному свету, отражающемуся от его поверхности. Но днём Юпитер совсем не виден, потому что отражённый свет намного тусклее прямого солнечного света. То же самое и с экзопланетами. Когда мы смотрим на свет от звезды, окружающие её планеты просто недостаточно яркие, чтобы их можно было различить.
К счастью, существуют и другие методы, и я собираюсь объяснить два из них, которые использовались для обнаружения большинства известных нам сегодня экзопланет. Здесь много интересной физики, так что давайте начнём!
Орбиты, колеблющиеся звёзды и синие смещения
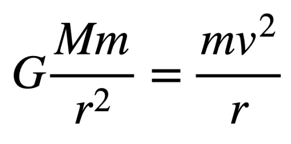
Что происходит, когда планета движется вокруг звезды? Во-первых, возникает гравитационное взаимодействие, которое притягивает планету в направлении звезды. Величина этой силы ( FG ) зависит от массы звезды ( M ) и планеты ( m ), а также от расстояния ( r ) между ними:
( G — гравитационная постоянная, которой можно пренебречь.) Эту силу можно использовать для движения объекта по круговой траектории. Вспомним второй закон Ньютона: когда на объект действует сила, объект ускоряется, а ускорение определяется как изменение скорости объекта.
Однако скорость — это величина, направленная в определённом направлении, поэтому изменение направления само по себе является разновидностью ускорения. В орбитальном движении это называется центростремительным (направленным к центру) ускорением, и оно зависит как от радиуса ( r ) круговой траектории, так и от скорости объекта ( v ). Объединив это с гравитационной силой, упомянутой выше, получаем следующее уравнение:
Да, некоторые величины (например, масса планеты и радиус) взаимно компенсируются, но давайте пока не будем об этом беспокоиться. Вы можете видеть, что существует связь между радиусом орбиты и скоростью планеты. Давайте смоделируем движение планеты вокруг звезды.
О! Видите? Звезда не неподвижна! Я не рассказал вам всю историю. Если звезда притягивает планету, то и планета притягивает звезду в ответ. Это происходит потому, что силы всегда являются взаимодействием между двумя объектами (снова Ньютон, третий закон). Поскольку на звезду действует гравитационное притяжение, она также движется по круговой орбите.
Очевидно, что в приведенной выше симуляции ничего не изображено в масштабе. Реальная звезда имеет гораздо большую массу, чем планета, поэтому эффект ничтожно мал. По сути, звезда просто «колеблется». Мы не можем видеть это движение, но мы все еще можем его обнаружить. Как? Благодаря эффекту Доплера.
Вы это уже знаете, даже если не осознаёте, что знаете. Когда мимо проезжает скоростной поезд, его звук меняется по высоте, от высокого к низкому. Это похоже на НИИ …
Видите, как волновые фронты сжимаются? Это значит, что в секунду до вашего уха доходит больше волн — то есть, у них более высокая частота, и мы слышим это как более высокий тон. Кроме того, с обратной стороны волны разжимаются. Если бы мяч двигался от вас, тон бы понизился.
Это эффект Доплера, и он работает со всеми волновыми явлениями, включая, в частности, свет. Когда источник света движется к вам, частота увеличивается. Для видимого света это означает изменение цвета — он смещается в сторону синего конца спектра. Мы называем это синим сдвигом. Когда он удаляется, цвет смещается в сторону красного конца — это красный сдвиг.
Вот и всё! Хотя астрономы не могут увидеть колебания звезды, они могут определить, движется ли она, используя спектроскоп для наблюдения за изменением света. Но подождите! Это ещё не всё. Зная исходную частоту, можно определить скорость движения звезды по сдвигу частоты.
Единственная проблема этого метода заключается в том, что величина цветового сдвига зависит от скорости света и скорости источника. Свет движется очень быстро (3 x 10⁸ метров в секунду), поэтому в большинстве случаев эффект Доплера очень трудно обнаружить. Однако трудно — не значит невозможно.
Вот как найти экзопланету: наблюдайте за звездой в течение нескольких лет и ищите небольшие изменения в её цветовом спектре. Затем используйте это для определения скорости, с которой звезда движется к Земле и от неё. Если мы можем оценить массу звезды (а мы можем), то, используя её скорость и период колебаний (продолжительность одного колебания), мы можем рассчитать массу и орбитальное расстояние планеты. Ура!
Это довольно важное событие. Если вы надеетесь найти внеземную жизнь, вам, вероятно, нужно найти планету, похожую на Землю, на земной орбите — не слишком близко к Солнцу и не слишком далеко, чтобы вода могла существовать в жидком состоянии. Это очень узкий круг.
Транзитный метод
Итак, вот второй способ обнаружения экзопланеты. Давайте начнём с чего-то знакомого: солнечного затмения. Это происходит, когда Луна проходит перед Солнцем, и её тень падает на Землю. При полном затмении количество света, достигающего Земли, может быть примерно в 1000 раз меньше обычного. Это выглядит как те сцены «день за ночь» в старых фильмах.
Венера и Меркурий также иногда проходят между Солнцем и Землей. Мы называем это солнечными транзитами. Они не отбрасывают тень на Землю, но немного уменьшают общую яркость Солнца. (Интересный факт: в 1700-х годах транзит Венеры использовался для расчета расстояния от Земли до Солнца.)
Также можно наблюдать транзит экзопланеты, когда внесолнечная планета проходит между своей местной звездой и точкой наблюдения на Земле. В этом случае яркость звезды немного уменьшается. Чувствительные приборы могут обнаружить это изменение и определить наличие экзопланеты вокруг этой звезды. Именно так была впервые обнаружена планета Kepler-10 b, изображенная на иллюстрации выше. (Позже это было подтверждено колебаниями звезды и эффектом Доплера.)
Если бы вы могли наблюдать это прохождение метеора (чего вы, конечно, не можете увидеть), оно выглядело бы так:
Теперь предположим, что вы построили график зависимости яркости или интенсивности звезды от времени. Во время прохождения по диску Солнца он может выглядеть примерно так:
Это называется кривой блеска, и по ней можно многое узнать. Плоское дно впадины — это та часть, где планета полностью находится перед звездой. Глубина впадины указывает на размер планеты. Более крупные планеты блокируют больше света.
Во-вторых, длина впадины показывает, как долго планета находится перед звездой. Мы можем использовать это для определения орбитального периода (времени, необходимого для совершения полного оборота). Если нам известны масса звезды и орбитальная скорость, то мы можем рассчитать орбитальное расстояние.
Наконец, мы продолжаем наблюдать, происходит ли это падение регулярно — именно так мы узнаем, что у нас есть настоящая экзопланета. Возможно даже наблюдать транзиты нескольких планет, и мы можем идентифицировать их по характерным кривым блеска.
Конечно, у обоих методов есть ограничения. Эффект Доплера становится сложнее обнаружить по мере удаления объекта наблюдения. И оба метода требуют определенного благоприятного выравнивания. Например, если удаленная планетная система перпендикулярна направлению нашего наблюдения с Земли, колебания звезды не будут перемещать ее ближе или дальше от нас, поэтому эффекта Доплера не будет.
Для транзитного метода экзопланета должна вращаться вокруг своей звезды в плоскости, включающей Землю. Если все условия не совпадают, транзита вообще не будет. Это условие удовлетворяет лишь ничтожно малый процент солнечных систем.
Кроме того, оба метода обнаружения сильно смещены в сторону поиска крупных планет, вращающихся близко к своим звездам — так называемых «горячих Юпитеров», — поскольку они дают более сильные и частые сигналы. Для наблюдения за планетами, подобными Земле, потребуется три года, чтобы получить минимально приемлемые данные о трех транзитах. И никто не сможет обнаружить экзопланету, подобную Плутону, с его 250-летней орбитой.
Теперь представьте себе 6000 экзопланет, обнаруженных на данный момент. Все, кроме одной, находятся в Млечном пути, что не включает в себя «миллиарды и миллиарды» (скорее, триллионы) других галактик. И почти все известные экзопланеты больше Земли, хотя считается, что планеты размером с Землю встречаются довольно часто. И в каждом из 6000 случаев планеты располагались в идеальном порядке, что позволило нам их обнаружить.
Итак… сколько же планет на самом деле существует во Вселенной? По текущим оценкам, их около 100 секстиллионов (1, за которым следуют 23 нуля). Так что вы думаете? Мы одни во Вселенной?
Источник: www.wired.com






























