Каждый, кто прошел через курс линейной алгебры или физики в универе, помнит этот странный дуализм. Нас учили, что у векторов есть целых ДВА вида произведения. Первое, скалярное, съедает два вектора и выдает число. Геометрически — это что-то про проекции и углы. Второе, векторное, тоже съедает два вектора и… внезапно выплевывает третий вектор, перпендикулярный первым двум. Причем работает этот фокус только в 3D и 7D.
Всегда казалось, что это какой-то математический «костыль».
Почему так сложно? Почему два разных продукта для разных задач? Почему один зависит от косинуса, а другой от синуса?
Что, если я скажу вам, что это действительно «костыли»? Что существует единое, универсальное и элегантное геометрическое произведение, которое включает в себя оба этих случая (и многое другое), и которое основано на одной-единственной, кристально ясной идее. Идее, которая меняет взгляд на саму суть математики.
Эта статья — приглашение в мир Геометрической Алгебры. Мы собираемся переизобрести умножение.
Примечание об обозначениях.
Поскольку в статье встречаются несколько видов умножений, будем различать их так
или отсутствие знака — новое геометрическое произведение
— скалярное произведение
∧ — внешнее произведение
Часть 1. Философия — каждому объекту по трансформации
Всё-таки, что-то есть в этой студенческой шутке, популярной в МФТИ: «каждому лектору в …у по вектору, а Дмитрию Владимировичу — ортонормированный базис» .
Тут речь идет о Беклемишеве, благодаря которому не только в МФТИ, но и по всему СССР преподавание линейной алгебры стало столь тесно связанным с аналитической геометрией. Когда он был еще 25-летним аспирантом мехмата МГУ, ему пришла в голову эта светлая идея — преподавать сложные абстракции с помощью наглядной науки, и он принялся внедрять ее в МФТИ. Его ждал невероятный успех — к 40 годам созданный Беклемишевым совершенно новый курс в тех или иных вариациях стал распространяться по всему СССР, а он сам преподавал векторную алгебру на советском телевидении.
Вполне может быть, что и новые курсы, основанные на геометрической алгебре, в наше время смогут получить похожую популярность. Всё-таки, здесь мы выходим на совершенно новый уровень — научимся оперировать не только векторами, но целыми базисами сразу.
Давайте начнем с простой, но глубокой мысли. Что, если каждый математический объект — это не просто статичная сущность, а оператор, выполняющий преобразование?
Число 5: это не просто «пять яблок». Это оператор «увеличить в 5 раз».
Комплексное число i: это не просто √-1. Это оператор «повернуть на 90 градусов». Умножьте на i еще раз — повернете на 180. Отсюда и i² = -1.
Эта философия превращает математику из описательного языка в язык действия. Объекты — это глаголы, а не существительные.
Хорошо, а что тогда вектор? Какое фундаментальное геометрическое преобразование он должен олицетворять с помощью умножения?
Это не может быть сдвиг — за это отвечает сложение (v + a). Не может быть и простое масштабирование. Какое самое базовое, самое элементарное геометрическое действие, которое можно совершить в пространстве?
Отражение.
Ключевая идея: давайте предположим, что вектор — это не стрелка. Вектор — это зеркало.
Единичный вектор n задает нам ориентацию зеркала, стоящего в начале координат и перпендикулярного этому вектору. Вся суть вектора — отражать другие объекты.

Но почему n — это именно перпендикуляр к зеркалу?
Векторы v и n лежат в одной плоскости, и задают одну плоскость (за исключением случая, когда они параллельны). Так что задавать вектор n может любое положение зеркала на этой плоскости. Куда удобнее сделать сам вектор n зеркалом.

Вся мощь геометрической алгебры вырастет из этого простого предположения.
Часть 2. Изобретаем умножение с нуля
Итак, вектор — это зеркало. Как нам описать операцию отражения математически? Мы хотим найти такое «умножение» (), чтобы оно позволило нам отражать один вектор v относительно другого вектора n.
Но вместо того, чтобы подгонять формулу под ответ, давайте поступим как настоящие исследователи. Давайте потребуем от нашего умножения одно-единственное, но очень важное свойство: обратимость.
В обычной алгебре уравнение 5x = 10 решается делением. Деление — это умножение на обратный элемент (x = 10 * 5⁻¹). Мы хотим так же решать и геометрические уравнения! Если ax = b, мы хотим найти x как a⁻¹b.
Чтобы это было возможно, для любого ненулевого вектора a должен существовать обратный a⁻¹. Логично предположить, что a⁻¹ как-то связан с a. Самый простой вариант — a⁻¹ пропорционален a.
Это значит, что произведение вектора на самого себя, a*a, должно быть простым скаляром. Ведь если a*a = k (где k — число), то мы легко находим a⁻¹ = a/k. Какой скаляр, связанный с вектором, самый главный? Конечно, квадрат его длины!
Постулат 1 (и единственный):
Произведение вектора на самого себя — это скаляр, равный квадрату его длины.
Это всё. Больше нам ничего не нужно. Всё остальное мы выведем.
Давайте посмотрим, к чему приведет этот, казалось бы, скромный постулат. Возьмем два вектора a и b и раскроем квадрат их суммы, как в школе:
Используя наш постулат, заменим a*a на |a|² и b*b на |b|²:
С другой стороны, (a+b) — это тоже вектор. А квадрат любого вектора, по нашему постулату, это квадрат его длины:
А квадрат длины вектора суммы мы знаем из школы по теореме косинусов:
Но — это же в точности скалярное произведение
!
Получаем: .
А теперь приравняем оба выражения для :
Сокращаем всё лишнее и получаем:
Симметричная часть нашего нового умножения (ab+ba) оказалась старым добрым скалярным произведением! Но что же такое ab само по себе?
Давайте рассмотрим самый интересный случай: a и b перпендикулярны.
Пусть наши базисные векторы e₁ и e₂. Их скалярное произведение равно нулю.
Подставим это в нашу формулу
А это значит…
Мы не придумали это. Мы не взяли это с потолка. Мы вывели антикоммутативность для ортогональных векторов из простейшего требования обратимости умножения.
Часть 3. Исследуем плоскость — рождение нового числа
Давайте останемся на плоскости. У нас есть базис и три правила игры:
Возьмем два произвольных вектора и
и просто перемножим их в лоб, как многочлены:
Применим наши правила: ,
и
:
Смотрите, что произошло! Наше геометрическое произведение ab само распалось на две части:
Скалярная часть: (a₁b₁ + a₂b₂). Это же в точности скалярное произведение a·b!
Не скалярная часть: (a₁b₂ — a₂b₁)(e₁e₂).
Коэффициент (a₁b₂ — a₂b₁) — это величина, пропорциональная площади параллелограмма на векторах a и b (и синусу угла между ними).

А что за таинственный зверь e₁e₂?
Он не скаляр.
Он не вектор.
Давайте посчитаем его квадрат:
Пользуясь антикоммутативностью:
Объект, который в квадрате дает -1.
Где-то мы это уже видели… Да это же аналог мнимой единицы i!
Этот объект I = e₁e₂ называется бивектором. Он не стрелка. Он — сама ориентированная плоскость e₁e₂.
Он говорит: «Я — плоскость, в которой вращение идет от e₁ к e₂».
Наше геометрическое произведение ab — это мультивектор.
(скалярная часть) + (бивекторная часть)
Здесь — это внешнее произведение.
Оно представляет собой ориентированную площадь.
Ориентация тут означает, что если поменять два вектора местами, то она умножится на .
Часть 4. Открываем формулу отражения. Путь проб и ошибок.
Итак, мы договорились, что вектор a — это зеркало, а отражение — его главное предназначение. Давайте теперь найдем математический язык для этого.
Наша цель — найти формулу, которая берет произвольный вектор v и отражает его в зеркале, заданном единичным вектором a.
Для простоты возьмем нашу плоскость с базисом e₁, e₂.
Пусть зеркалом будет сама ось e₁. Какой вектор v мы будем отражать?
Давайте возьмем самый общий:
Что мы ожидаем получить после отражения в «зеркале» e₁? Компонента вдоль e₁ должна остаться, а компонента вдоль e₂ (перпендикулярная зеркалу) — инвертироваться. Ожидаемый результат:

Теперь попробуем найти эту формулу, используя наше новое геометрическое произведение.
Попытка №1: Умножение слева
Самое простое, что приходит в голову — просто умножить v на e₁ слева:
(Напомню e₁e₁ = 1 и e₁e₂ = -e₂e₁)
Что это? Скаляр v₁ минус бивектор -v₂e₁e₂. Это даже не вектор. Результат интересный, но это точно не наше отражение. Мимо.
Попытка №2: Умножение справа
Хорошо, попробуем умножить справа:
Снова скаляр плюс бивектор. Опять мимо.
Попытка №3: «Сэндвич»
Кажется, простого умножения недостаточно. Мы получаем объекты более высокой «степени» (бивекторы). Может, нужно как-то от них избавиться? Что, если мы «обернем» наш вектор v с двух сторон? Попробуем конструкцию e₁ve₁:
Бинго!
Мы получили в точности тот результат, который ожидали.
Формула отражения:
отражение вектора v в зеркале, заданном единичным вектором a, описывается сэндвич-произведением:
Работает ли это для любого вектора, а не только для базисного e₁?
Да! Мы можем доказать, что если разложить v на компоненты и
относительно любого единичного вектора a, то операция ava всегда сохранит
и инвертирует
, что и является определением отражения.
Доказательство: почему ava — это универсальная формула отражения
Хорошо, наш трюк с «сэндвичем» e₁ve₁ сработал идеально для отражения относительно оси e₁. Но не было ли это просто удачным совпадением? Давайте докажем, что формула v’ = ava работает для отражения относительно любого единичного вектора a.
Это доказательство не просто покажет, что формула верна. Оно вскроет, насколько глубоко наше новое умножение «понимает» геометрию.
Шаг 1: Раскладываем вектор на компоненты
Давайте разложим наш вектор v на две компоненты относительно вектора-зеркала a:
v_∥ (v-параллельная).
Компонента v, которая параллельна a. Это просто проекция v на a.
v_⊥ (v-перпендикулярная).
Компонента v, которая перпендикулярна a. Это то, что останется от v, если вычесть из него параллельную часть.
Таким образом:
Определение отражения:
мы хотим, чтобы наше преобразование оставило без изменений (ведь она уже лежит на «линии» зеркала) и инвертировало
(ведь она перпендикулярна зеркалу).
Наша цель — доказать, что
Шаг 2: Смотрим, как ava действует на каждую компоненту по отдельности
Поскольку наше умножение дистрибутивно, мы можем написать:

Теперь проанализируем каждое слагаемое.
Анализ (параллельная часть):
По определению,
параллелен a. Это значит, что
— это просто a, умноженный на какой-то скаляр.
.
Ключевое свойство: скаляры коммутируют со всем. Их можно выносить за скобки и передвигать где угодно.
Давайте посчитаем:
.
Что такое aaa? Это (aa)a. А так как a — единичный вектор, то aa = a² = 1.
Значит, aaa = (1)a = a.
Возвращаемся к нашему выражению:
Результат А:
Операция ava сохраняет параллельную компоненту. Первая часть доказана!
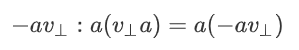
Анализ (перпендикулярная часть):
По определению,
и a ортогональны.
А что мы знаем про геометрическое произведение двух ортогональных векторов? Они антикоммутируют! Это фундаментальное свойство, которое мы вывели ранее.
Теперь давайте применим это к нашему выражению
Мы можем сгруппировать его как
.
Заменим
на его антикоммутированный эквивалент

Выносим минус и перегруппировываем:
.
И снова, так как a — единичный вектор, aa = a² = 1.
Получаем:
.
Результат Б:
Операция ava инвертирует перпендикулярную компоненту. Вторая часть доказана!
Шаг 3: Собираем все вместе
Теперь вернемся к нашей сумме:
Мы только что показали, что
Подставляем эти результаты:
Это в точности математическое определение отражения вектора v относительно линии, заданной вектором a.
Доказательство завершено.
Часть 5. Два отражения = поворот. Рождение ротора.
Мы начали с того, что вектор — это зеркало, а отражение — это фундаментальная операция. Что будет, если сделать два отражения подряд? Любой школьник, игравший с двумя зеркалами, чтобы списать с их помощью на контрольной, знает: это будет поворот!
(первое отражение)
Сгруппируем скобки по-другому, пользуясь ассоциативностью нашего умножения:
Давайте посмотрим на этот новый объект
Это результат геометрического произведения двух векторов. Это уже не просто вектор и не просто бивектор, а их сумма — мультивектор. Назовем его ротор.
А что такое ab в этой формуле? Давайте перемножим его на ba:
Значит, ab — это в точности обратный элемент к ba! То есть ab = (ba)⁻¹ = R⁻¹.
Наша формула для двух отражений (то есть, для поворота!) превращается в нечто невероятно элегантное.
Формула вращения:
Мы не использовали ни синусы, ни косинусы, ни матрицы. Мы просто сказали: «вектор — это зеркало», нашли формулу для одного отражения и применили ее дважды. Вращения достались нам практически бесплатно, как побочный продукт.
Чаcть 6. В чем обман в векторном произведении векторов?
До сих пор мы говорили «вектор a — это зеркало». И формула v’ = ava работала. Но, как мы выяснили, она описывает отражение относительно линии, заданной вектором a.
А как же наше бытовое «зеркало», которое является плоскостью?
Для этого, как мы помним, нужна формула со знаком минус: v’ = -ava. Здесь вектор a задает нормаль к плоскости-зеркалу.
Так какая же формула «правильная»? Обе! Они описывают два разных типа отражений.
Оказывается, что любое сложное движение (вращение, перенос) в n-мерном пространстве можно разложить на последовательность простых отражений. Это фундаментальный результат, известный как преобразования Хаусхолдера.
Отражения — это атомы, из которых состоят все движения.
И тут нас ждет сюрприз, связанный с размерностью пространства.
В 2D пространстве: «зеркало-плоскость» — это просто линия. Ее нормаль — это вектор. Линия и ее нормаль-вектор однозначно задают друг друга.
В 3D пространстве: «зеркало-плоскость» — это плоскость. Ее нормаль — это вектор. Плоскость и ее нормаль-вектор тоже однозначно задают друг друга. А что еще задает плоскость? Бивектор! В 3D пространстве каждому бивектору (плоскости) можно сопоставить единственный перпендикулярный ему вектор (псевдовектор). Это тот самый трюк, на котором основано векторное произведение. Из-за этого «случайного» совпадения в 3D можно подменять бивекторы векторами и наоборот.
В 4D и выше: «зеркало-плоскость» — это гиперплоскость (например, 3D-объем в 4D-пространстве). Ее нормаль — это вектор. А вот бивектор по-прежнему задает только 2D-плоскость и повороты на ней!
Вывод.
В пространствах размерности выше 3 бивекторы (генераторы вращений) и гиперплоскости (зеркала для отражений) — это совершенно разные объекты. Бивектор задает вращение в конкретной 2D-плоскости, а отражение происходит сразу во всем (n-1)-мерном пространстве.
Обманчивая простота нашего 3D-мира, где плоскость можно описать и бивектором, и вектором-нормалью, долгое время скрывала эту фундаментальную разницу и заставляла нас пользоваться «костылем» векторного произведения.
Геометрическая алгебра расставляет все по своим местам.
Чаcть 7. Матрицы Паули из воздуха
Те, кто знаком с квантовой механикой, знают матрицы Паули σ₁, σ₂, σ₃. Это набор матриц 2×2, которые лежат в основе описания спина. Они обладают забавными свойствами: σ₁² = σ₂² = σ₃² = I (единичная матрица) и антикоммутируют (σ₁σ₂ = iσ₃ = -σ₂σ₁).
Откуда они берутся? В геометрической алгебре они появляются сами собой.
Давайте просто отождествим наши базисные векторы e₁, e₂, e₃ с матрицами Паули!
Проверим наши правила:
? Да,
.
для
? Да, они антикоммутируют.
Что тогда такое бивекторы?
А тривектор (псевдоскаляр)?
.
Тривектор пространства — это мнимая единица i, умноженная на единичную матрицу!
Оказывается, матрицы Паули — это не какой-то абстрактный математический трюк. Это матричное представление алгебры нашего трехмерного евклидова пространства. Все эти i в их произведениях — это просто следствие того, что произведение двух векторов порождает бивектор, который в дуален вектору. Геометрическая алгебра вскрывает геометрический смысл, стоящий за матрицами спина.
Часть 8. Выведем сами элементы матриц Паули.
Наша задача: найти три матрицы 2×2, которые ведут себя в точности как наши ортонормированные векторы e₁, e₂ и e₃. То есть, они должны удовлетворять «правилам игры» геометрической алгебры:
(где I — единичная матрица 2×2).
для
(антикоммутативность).
Мы будем работать с векторами-столбцами вида [α, β], где α и β — комплексные числа. Это стандартный базис для описания спина «вверх» и «вниз»
.
Шаг 1. σ₃ — оператор «измерения» вдоль оси Z
В квантовой механике (или
) — это оператор, который измеряет проекцию спина на ось Z. Его собственные состояния — это спин «вверх» и спин «вниз».
Когда σ₃ действует на состояние «вверх» ↑ ([1, 0]), он должен дать
.
Когда σ₃ действует на состояние «вниз» ↓ ([0, 1]), он должен дать
Давайте запишем это в матричной форме.
Мы хотим получить . Значит,
Мы хотим получить . Значит,
.
Собираем матрицу:
Проверим:
Свойство выполняется. Первая матрица найдена чисто из ее физического смысла.
Шаг 2: σ₁ — оператор «переворота»
Что должен делать оператор e₁ (или σ₁)? В нашем геометрическом мире он перпендикулярен e₃. Какое самое простое действие он может совершать над состояниями «вверх/вниз»? Переворачивать их!
σ₁ должен превращать «вверх» в «вниз»: σ₁ * [1, 0] = [0, 1].
σ₁ должен превращать «вниз» в «вверх»: σ₁ * [0, 1] = [1, 0].
Снова ищем матрицу
:
Мы хотим получить . Значит,
Мы хотим получить . Значит,
Собираем матрицу:
Проверим :
Выполнено.
Самостоятельно можете проверить антикоммутативность с .
Шаг 3: σ₂ — магия Геометрической Алгебры
Мы могли бы пытаться угадать геометрический смысл , но у нас есть путь лучше. В Геометрической Алгебре объекты порождают друг друга!
Мы знаем, что в 3D бивектор дуален вектору
(с точностью до знака и
).
Давайте определим через другие векторы и псевдоскаляр
Например, .
В матричном представлении . Тогда
Давайте просто перемножим наши «векторы» σ₁ и σ₃ и посмотрим, что получится.
Их произведение должно быть как-то связано с
Это не , это бивектор
.
Давайте воспользуемся свойством .
Отсюда .
Постойте-ка, давайте-ка сменим порядок. .
Отсюда .
А давайте через произведение
и
? То есть,
?
В матричном виде:
Тогда
Подождите-ка. Стандартная матрица Паули σ₂ имеет вид
Где мы ошиблись?
Нигде! Выбор знаков (σ₁σ₂ = iσ₃ или σ₁σ₂ = -iσ₃) — это вопрос соглашения о хиральности (правая или левая система координат). Давайте просто определим e₂ через произведение, которое даст стандартный результат.
Вспомним, что бивектор e₃e₁ соответствует iσ₂. Давайте так и потребуем:
Вот она, третья матрица, полученная как продукт взаимодействия двух других.
Проверим :
Выполнено. Антикоммутативность с остальными тоже легко проверяется.
Вывод
Мы не «нашли» матрицы Паули. Мы их сконструировали.
мы построили из требования быть оператором измерения «вверх/вниз».
мы построили из требования быть оператором «переворота» между «вверх» и «вниз».
мы получили как геометрическое произведение σ₃ и σ₁ (с нормировкой на i).
Матрицы Паули — это не магия. Это неизбежное следствие попытки представить три ортогональных направления и их произведения в виде матриц 2×2. Геометрическая алгебра вскрывает их внутреннюю логику и показывает, что они — всего лишь одно из возможных «воплощений» вечной геометрии пространства.
Часть 9. Подведем итоги.
Давайте подведем итог, что мы открыли:
Есть только одно умножение. Геометрическое произведение ab. Оно содержит в себе всю информацию о взаимном расположении векторов.
Оно распадается на части.
. Его симметричная часть
— скалярное произведение (проекция). Его антисимметричная часть
— бивектор (ориентированная площадь).
Оно порождает новые объекты. Умножая векторы, мы получаем бивекторы, которые в 2D ведут себя как
и задают плоскость вращения.
Оно кодирует преобразования. Произведение двух векторов
создает ротор — оператор вращения. Формула
работает всегда и везде, от 2D-графики до специальной теории относительности.
Мы начали с простой идеи и, следуя логике, пересобрали всю векторную алгебру, сделав ее проще, мощнее и интуитивнее. Это и есть геометрическая алгебра. И мы с вами лишь приоткрыли дверь в этот удивительный мир.
Это не какая-то эзотерическая математика.
ГА активно применяется в компьютерной графике, робототехнике, электродинамике и квантовой механике. Возможно, если бы с нее начинали в вузах, у нас было бы гораздо больше инженеров и физиков, которые по-настоящему чувствуют геометрию.
А еще с помощью нее можно переписать всю физику!
Источник: habr.com




























