Управление космическим кораблём вокруг планеты совсем не похоже на управление по ней. Физик объясняет принципы орбитальной навигации.
Фотография: 3DSculptor/Getty Сохранить эту историю Сохранить эту историю
Если вы смотрите научно-фантастические фильмы, то можете подумать, что управление космическим кораблём — это то же самое, что вождение чуть более сложной машины (или «Виннебаго» в «Космических яйцах»). А Джордж Лукас подарил нам эти галактические битвы с пилотами, которые выглядят так, будто управляют истребителями на Земле.
Плохие новости: космос действительно очень и очень отличается. В частности, перемещение аппарата по орбите вокруг Земли гораздо сложнее. Манёвры, которые можно совершить на самолёте, на орбите иногда приводят к противоположному эффекту.
Чтобы понять, что я имею в виду, сначала мы займёмся основами физики и построим небольшую модель орбитальной механики, а затем я покажу вам несколько интересных симуляций попытки стыковки. Читайте дальше!
Круговые орбиты
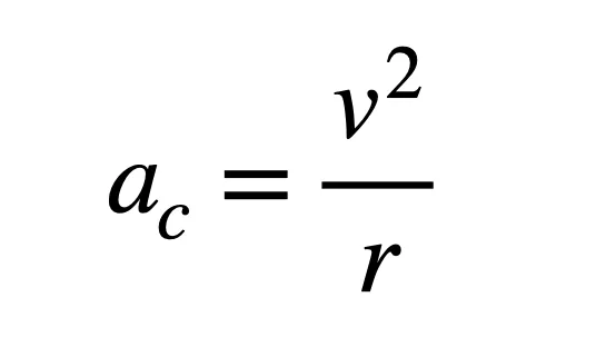
Представьте себе полёт по круговой орбите вокруг Земли. Для понимания такого движения нам необходимы три важных физических понятия. Во-первых, центростремительное ускорение . Напомним, что ускорение — это мера скорости изменения скорости объекта.
Но скорость — это не просто скорость, это скорость в определённом направлении, другими словами, это вектор. Если объект движется по окружности, его направление постоянно меняется, а значит, он постоянно ускоряется, даже если его скорость постоянна!
Направление этого ускорения – к центру окружности. («Центростремительное» означает направленное к центру.) Величина ускорения зависит как от величины скорости ( v) (т.е. скорости), так и от радиуса окружности ( r ). Это даёт следующее уравнение:
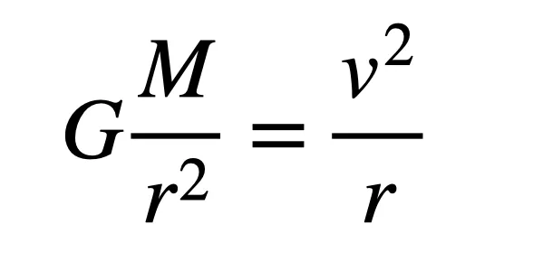
Следующая важная идея — сила гравитации . Между любыми двумя объектами, обладающими массой, существует сила притяжения. Эта сила уменьшается как 1 с квадратом расстояния ( r ) между объектами. Вот как мы её вычисляем:
В приведённом выше уравнении M — масса Земли, а m — масса вращающегося вокруг неё объекта. (Там также присутствует гравитационная постоянная G , но сейчас она не важна.) Это говорит о том, что гравитационное притяжение Земли быстро ослабевает по мере удаления от неё.
Третья важная идея — это связь между силами и ускорением. Это второй закон Ньютона , который гласит, что сумма сил, действующих на тело, равна его массе, умноженной на его ускорение.
Сопоставляя всё это, мы видим, что масса объекта присутствует как в уравнении силы, так и во втором законе Ньютона, поэтому она сокращается. Это даёт нам следующее уравнение для нашей модели, которое справедливо для любого объекта, вращающегося вокруг Земли, большого или малого.
Теперь мы знаем, с какой скоростью ( v ) должен двигаться объект, чтобы находиться на круговой орбите радиусом r . Здесь нет места для манёвра. Если вы стартуете с некоторого орбитального расстояния и не движетесь с этой скоростью, вы не будете на круговой орбите.
Орбитальная встреча
Лучший способ изучить орбитальную механику — сесть в кресло пилота. Предположим, вы находитесь в космическом корабле, вращающемся вокруг Земли. Ваша орбита такая же, как у космической станции, но вы приближаетесь сзади, и вам приходится догонять её, чтобы состыковаться.
Что делать? У вас есть несколько ракет, которые можно включить, поэтому очевидный ответ — запустить двигатели в направлении движения, чтобы догнать. Что ж, это не сработает. Вот что происходит:
Видите ли, тяга увеличила скорость космического корабля, как мы и ожидали. Но теперь скорость не соответствует радиусу орбиты, поэтому орбита уже не круговая. Теперь она эллиптическая.
Я расскажу вам, как вернуться на круговую орбиту, но давайте рассмотрим главную проблему. Обратите внимание: с увеличением скорости малый корабль всё больше отстаёт от космической станции. Да, он движется быстрее, но на большем расстоянии от Земли. Это означает, что длина его пути также увеличивается.
Ну, если ускорение не помогает, как насчёт замедления? Давайте попробуем. Вот что произойдёт, если запустить двигатели в противоположном направлении:
Теперь ваш космический корабль движется недостаточно быстро для этого орбитального расстояния. Это приближает его к Земле, так что он проходит меньшее расстояние, чем космическая станция, и обгоняет её! Таким образом, замедление позволяет вам двигаться быстрее (с определённой точки зрения).
Перевод Хохмана
Итак, как же нам вообще достичь нашей встречи? Для этого требуется особый приём, называемый переходом Хомана. Это метод перехода с одного орбитального радиуса на другой. Давайте на минуту забудем о космической станции и предположим, что вы просто хотите выйти на круговую орбиту поближе к Земле.
Первую часть мы уже проделали, когда космический аппарат включил двигатели обратного движения. Это вывело нас на эллиптическую орбиту, часть которой находилась ближе к Земле. Затем вы дожидаетесь точки наибольшего сближения (перицентра) и снова замедляетесь, чтобы ваша скорость соответствовала скорости, необходимой для круговой орбиты с этим радиусом. Смотрите:
Этот приём можно использовать для всех типов орбитальных перелётов. Хотите отправиться на Марс? Вы можете подумать, что это как поездка в Starbucks: из пункта А в пункт Б. Нет. На самом деле вы перемещаетесь с орбиты Земли вокруг Солнца на более далёкую орбиту Марса. Межпланетные путешествия, по сути, то же самое, что и встреча нашей космической станции.
Итак, теперь, когда вы знаете, как выполнить этот приём, вы можете использовать его для стыковки своего космического корабля. Вы будете перемещаться на меньший радиус, чтобы догнать космическую станцию (замедляясь, чтобы ускоряться), а в нужный момент возвращаться к исходному радиусу (ускоряясь, чтобы замедляться).
Так что да, чтобы летать в космосе, действительно нужно быть учёным-ракетчиком. С другой стороны, вождение автомобиля на Земле иногда похоже. В мультфильме Pixar «Тачки», когда Док Хадсон говорит, что на крутом повороте нужно повернуть направо, чтобы поехать налево, Молния Маккуин насмехается над его советом, называя его «противоположным миром». Что ж, в каком-то смысле орбитальная навигация действительно противоположна миру!
Источник: www.wired.com


































