Image

Изучаем Triton по одному ядру за раз. Softmax: реализация, обратный проход и оптимизация

Подробное рассмотрение важнейшего компонента внимания скалярного произведения, языкового моделирования и полиномиальной логистической регрессии

Делиться

6702876a2c2cffc30b666a4ee718dbde

В предыдущей статье этой серии мы рассмотрели распространённую во всех областях информатики операцию: умножение матриц. Она широко используется в нейронных сетях для вычисления активации линейных слоёв. Однако сами активации сложно интерпретировать, поскольку их значения и статистические характеристики (среднее значение, дисперсия, минимальная и максимальная амплитуда) могут сильно различаться от слоя к слою. Это одна из причин, по которой мы используем функции активации, например, логистическую функцию (сигмоиду), которая проецирует любое действительное число в диапазоне [0; 1].

Функция softmax, также известная как нормализованная экспоненциальная функция, представляет собой многомерное обобщение сигмоиды. Она преобразует вектор исходных оценок (логитов) в распределение вероятностей по M классам. Её можно интерпретировать как средневзвешенное значение , которое ведёт себя как гладкая функция и легко дифференцируется . Она является важнейшим компонентом скалярного произведения внимания, языкового моделирования и мультиномиальной логистической регрессии.

В этой статье мы рассмотрим:

  1. Реализация эффективного ядра softmax в Triton.
  2. Реализация обратного прохода (автограда).
  3. Оптимизация: модификаторы кэша и автонастройка.

Если вы еще не знакомы с Triton, обратитесь к предыдущим статьям!

Изучаем Triton по одному ядру за раз: сложение векторов

Изучаем Triton по одному ядру за раз: умножение матриц

Отказ от ответственности: все иллюстрации и анимации сделаны автором, если не указано иное.

Определение

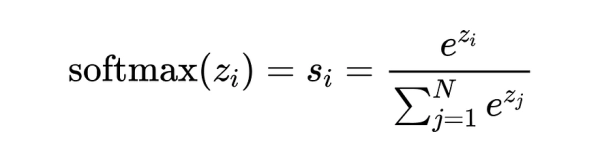
Softmax определяется следующим образом:

89c90748f95355f645c6b92bfb90e029

Нормализация гарантирует, что сумма вектора равна 1 , поэтому ее можно интерпретировать как допустимое распределение вероятностей.

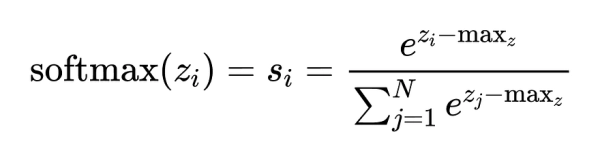
Обратите внимание, что эта формулировка softmax крайне чувствительна к переполнению . Напомним, что максимальное значение, которое может представить стандартный float16, — это 65 504 , что примерно равно exp(11) . Это означает, что любое входное значение, превышающее ~11, приведёт к выходу exp(z_i) за пределы представимого диапазона, что приведёт к переполнению .

Распространенный прием для смягчения этой проблемы — вычитание максимального значения входного вектора из каждого элемента таким образом, чтобы новый максимум был равен 0 до возведения в степень и 1 после.

0d70a92c9cdbbcefd0d69a3a0f525a89

Наивная реализация

Как видите, вычисление softmax включает две операции редукции : max и sum . Наивный алгоритм требует трёх отдельных проходов по входному вектору. Сначала вычисляется максимум, затем сумма и, наконец, нормализованные выходные данные.

Вот как выглядит наивная реализация Numpy:

В этой серии Triton повторяющаяся тема — минимизация доступа к глобальной памяти с высокой задержкой. Наша текущая реализация Numpy требует трёх отдельных операций чтения всего входного вектора, что крайне неэффективно.

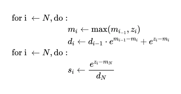
Онлайн Софтмакс

К счастью, мы можем использовать хитрый трюк, известный как онлайн-softmax , чтобы объединить шаги max и sum, сократив количество чтений памяти до 2 .

Сначала рекурсивно определим сумму экспонент. В следующем наборе равенств m_i обозначает максимум по x до i -го индекса.

6b51f3aba4334848d29655aaf346bbb5

Это равенство позволяет нам итеративно вычислять сумму экспонент, используя максимальное на данный момент значение. Мы можем использовать это для объединения первого и второго циклов в наивной реализации и итеративно вычислять максимум и сумму экспонент.

Наш алгоритм становится следующим:

52a6cc01adbeeacb75861ca3b9e24b21

Это легко перевести на Numpy:

Теперь, когда мы разобрались с основными принципами softmax, мы реализуем его в Triton, начав с простой одноблочной версии и постепенно переходя к онлайновой многоблочной. В конечном итоге мы хотим, чтобы наше ядро вело себя как модуль PyTorch и было совместимо с Autograd.

К сожалению, с точки зрения PyTorch, ядра Triton ведут себя как чёрные ящики: выполняемые ими операции не отслеживаются Autograd. Это требует от нас самостоятельной реализации обратного прохода и явного указания способа вычисления градиентов. Давайте освежим в памяти наше любимое цепочное правило и выведем градиент Softmax.

Градиент

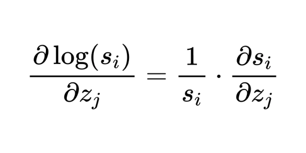
Поскольку выходные данные softmax строго положительны, мы можем использовать логарифмическую производную для упрощения вычисления градиента. Здесь мы берём производную логарифма выходного значения и применяем цепное правило:

85c38ac4d475912321fcce8345387b0f

Отсюда мы переставляем термины и выполняем следующие шаги:

7e2b776f2f70494945675a95fec1d6c2

Предположим, что у нас есть некоторый градиент вверх по течению, например, сгенерированный функцией потерь L (например, кросс-энтропийной потерей). Получаем следующее выражение для градиента:

1f626e91d9168fd137d20f31045e4996

Упрощение левого члена в (9) обусловлено тем, что δ_ij будет равно 1 только для i -го элемента, сводя сумму по j к одному члену.

Реализация Тритона

Одиночный блок Softmax

Теперь, когда мы разобрались с выводом градиента, мы можем написать прямое и обратное ядра softmax. Сначала сосредоточимся на обёртке PyTorch, чтобы понять, как работает реализация с одним блоком на высоком уровне. Учитывая двумерный входной тензор, прямое и обратное ядра будут обрабатывать все строки параллельно.

Для простоты мы определим BLOCK_SIZE достаточно большим, чтобы обрабатывать все столбцы одновременно. В частности, мы установим его как следующую степень числа 2, превышающую количество столбцов, как того требует Triton.

Затем мы определим нашу `сетку` как количество строк (она потенциально может также обрабатывать пакетное измерение).

Обертка PyTorch для нашего SoftmaxSingleBlock — это класс, наследующий от torch.autograd.Function, который реализует прямой и обратный проходы. Оба метода принимают аргумент ctx, который мы будем использовать для кэширования выходных данных Softmax во время прямого прохода и их повторного использования во время обратного прохода.

Оба ядра довольно просты: мы начинаем с загрузки входных строк, используя тот же синтаксис, что и в моем предыдущем примере сложения векторов. Статья. Обратите внимание, что BLOCK_SIZE и num_warps вычисляются с помощью функции calculate_settings. Эта функция взята из библиотеки Unsloth и использовалась в других библиотеках ядра, таких как LigerKernel (на которой в некоторой степени основаны ядра, представленные в этой статье). Она предоставляет эвристический подход для настройки обеих переменных:

def calculate_settings(n: int) -> tuple[int, int]: MAX_FUSED_SIZE = 65536 # максимальный размер сетки на графических процессорах Nvidia BLOCK_SIZE = next_power_of_2(n) if BLOCK_SIZE > MAX_FUSED_SIZE: # в этой статье мы убираем это утверждение raise RuntimeError( f»Невозможно запустить ядро Triton, так как n = {n} превышает » f»максимальный размер блока CUDA = {MAX_FUSED_SIZE}.» ) num_warps = 4 if BLOCK_SIZE >= 32768: num_warps = 32 elif BLOCK_SIZE >= 8192: num_warps = 16 elif BLOCK_SIZE >= 2048: num_warps = 8 return BLOCK_SIZE, num_warps

Затем мы реализуем обычный softmax для прямого прохода и уравнение (10) для обратного прохода. Единственное новшество по сравнению с предыдущими статьями — использование модификаторов кэша, которые сообщают компилятору, как кэшировать и вытеснять данные. Сейчас мы сосредоточимся только на трёх модификаторах кэша:

  • .ca ( Кэш на всех уровнях ): указывает компилятору загружать данные как в кэш L1, так и в кэш L2, указывая на возможность их повторного использования в ближайшее время. Этот модификатор следует использовать, когда данные достаточно малы для размещения в кэше L1 (~128–192 КБ на SM на A100) и, вероятно, будут использоваться многократно.
  • .cs ( потоковая передача ): обрабатывать данные как потоковые , они будут использованы один раз, а затем удалены для освобождения места в L1.
  • .wb ( обратная запись ): Обычная кэшированная запись, данные остаются в иерархии кэша, хорошо, если выходные данные можно использовать повторно.

В следующих ядрах мы будем использовать модификатор .ca для загрузки, поскольку мы выполняем несколько операций с загруженными данными. Для сохранения мы будем использовать .cs в прямом проходе, поскольку выходные данные не будут сразу повторно использоваться, и .wb в обратном проходе, поскольку в контексте autograd (т.е. цепочечного правила) выходные данные градиента будут использоваться ядрами, расположенными ниже по потоку.

Многоблочный Softmax

Теперь давайте рассмотрим онлайн-формулировку softmax. В этом разделе мы реализуем многоблочный вариант предыдущего ядра. В этой версии будет использоваться BLOCK_SIZE < n_cols, то есть мы будем загружать только плитку с BLOCK_SIZE элементов за раз, аналогично тому, как мы работали с плиточной GEMM в предыдущем уроке. Вы можете спросить: «Как выбрать размер блока?»

Это отличный повод представить утилиту автонастройки Triton. Имея список конфигураций, автонастройка выполнит поиск по сетке, чтобы определить и кэшировать оптимальную конфигурацию для конкретной входной формы. Этот процесс повторяется каждый раз, когда ядру передается новая входная форма.

Здесь мы выполняем поиск по сетке по размеру блока и количеству варпов, используя следующую функцию полезности:

из itertools import product # — Многоблочная настройка — BLOCK_SIZES = [256, 512, 1024, 2048, 4096, 8192] NUM_WARPS = [2, 4, 8, 16] def get_autotune_config( block_sizes: list[int], num_warps: list[int] ) -> list[triton.Config]: return [ triton.Config(kwargs={«BLOCK_SIZE»: bs}, num_warps=nw) for (bs, nw) in list(product(block_sizes, num_warps)) ]

Теперь мы можем снабдить наши многоблочные ядра автоматической настройкой и передать список конфигураций, key=”n_cols” указывает, что оптимальная конфигурация зависит от количества столбцов входных данных.

Реализация этих ядер концептуально очень близка к онлайн-программе SoftMax, которую мы рассматривали ранее. Главное отличие заключается в том, что мы итерируем по тайлам (а не по отдельным элементам, как в Numpy), что требует некоторых корректировок. Например, мы добавляем сумму по тайлу в обновлении d, а обратное ядро теперь также требует двух итераций.

Примечание: оболочка PyTorch точно такая же, за исключением того, что мы удалили строку, в которой объявлены BLOCK_SIZE и num_warps (поскольку они выбираются автонастройкой).

Тестирование и бенчмаркинг

Теперь мы можем выполнить прямой и обратный проход с обоими ядрами и убедиться, что они соответствуют базовым показателям PyTorch:

def validate_kernel(kernel_fn: callable) -> None: device = «cuda:0» if torch.cuda.is_available() else «cpu» torch.random.manual_seed(0) # Генерация входных данных x = torch.randn((256, 512), device=device) # входные данные triton x.requires_grad = True xt = deepcopy(x) # входные данные torch triton_output = kernel_fn(x) torch_output = torch.softmax(xt, dim=1) torch.testing.assert_close(triton_output, torch_output) # тест ядра fwd # Настройка поддельных меток y = torch.zeros_like(x) inds = (torch.arange(0, y.shape[0]), torch.randint(0, 3, (y.shape[0],))) y[inds] = 1 # Определение потерь и запуск обратного прохода loss_fn = torch.nn.CrossEntropyLoss() loss = loss_fn(torch_output, y) loss.backward() # Сохраняем тензор градиента для дальнейшего использования torch_xgrad = xt.grad.detach().clone() triton_loss = loss_fn(triton_output, y) triton_loss.backward() torch.testing.assert_close(x.grad, torch_xgrad) # тестовые выходные данные градиента validate_kernel(softmax_sb) validate_kernel(softmax_mb)

Наконец, мы сравниваем нашу реализацию с базовым уровнем PyTorch, используя следующий фрагмент:

# — Источник: Triton softmax tutorial — @triton.testing.perf_report( triton.testing.Benchmark( x_names=[«N»], # имена аргументов для использования в качестве оси X графика x_vals=[ 128 * i for i in range(2, 100) ], # различные возможные значения для `x_name` line_arg=»provider», # имя аргумента, значение которого соответствует другой линии графика line_vals=[ «triton_single_block», «triton_multi_block», «torch», ], # возможные значения для `line_arg« line_names=[ «Triton_single_block», «Triton_multi_block», «Torch», ], # имя метки для линий styles=[(«blue», «-«), («green», «-«), («red», «-«)], ylabel=»GB/s», # имя метки для оси Y plot_name=»softmax-performance», # имя для графика. Используется также как имя файла для сохранения графика. args={«M»: 4096}, # значения аргументов функции, не указанные в `x_names` и `y_name` ) ) def benchmark(M, N, provider): x = torch.randn(M, N, device=DEVICE, dtype=torch.float32) stream = getattr(torch, DEVICE.type).Stream() getattr(torch, DEVICE.type).set_stream(stream) if provider == «torch»: ms = triton.testing.do_bench(lambda: torch.softmax(x, axis=-1)) if provider == «triton_single_block»: torch.cuda.synchronize() ms = triton.testing.do_bench(lambda: softmax_sb(x)) torch.cuda.synchronize() if provider == «triton_multi_block»: torch.cuda.synchronize() мс = triton.testing.do_bench(лямбда: softmax_mb(x)) torch.cuda.synchronize() гбит/с = лямбда мс: 2 * x.numel() * x.element_size() * 1e-9 / (мс * 1e-3) return гбит/с(мс) benchmark.run(show_plots=True, print_data=True)

Хорошие новости! Наше одноблочное ядро стабильно превосходит базовый уровень PyTorch, в то время как многоблочный вариант теряет производительность на входных данных с более чем 6 тысячами столбцов:

f2c05304cd95e1b0e3f21f1d01abe180

Рассматривая более крупные вложения, мы можем сделать несколько наблюдений:

  1. Многоблочное ядро в конечном итоге стабилизирует пропускную способность на уровне около 900 ГБ/с, превосходя базовый уровень PyTorch для входных данных с более чем 30 тыс. столбцов.
  2. Интересно, что, похоже, многоблочный вариант будет доминировать для входных данных с более чем 60 тыс. столбцов.
  3. Несмотря на то, что мы превышаем максимальный размер блока в одноблочном варианте, ядро почему-то всё равно работает без сбоев. Более того, Triton автоматически управляет размером блока изнутри.
    Когда n_cols превышает аппаратный предел, Triton разбивает входные данные на части и выполняет итерации по ним. Однако, похоже, это медленнее, чем многоблочный подход.

Для дальнейшего развития мы могли бы объединить оба подхода в одном ядре, которое явно выбирает оптимальное ядро на основе размера входных данных. Таким образом, мы бы выиграли от высокой производительности одноблочного ядра для небольших входных данных и более высокой пропускной способности многоблочного варианта для входных данных с более чем 60 тысячами столбцов.

8c220a7cd49f21b80d70bcf44f462486

На этом завершается третий эпизод сериала «Тритон», еще раз спасибо за вашу поддержку!

В следующей статье мы применим онлайн-формулу softmax в контексте Flash Attention .

До следующего раза! 👋

Ресурсы:

  • Реализация LigerKernel Softmax
  • Вывод градиента Softmax Томасом Курбилем
  • Оптимизация ядра графического процессора: Softmax — Часть 2, автор Хьюго Розенкранц-коста (ядра Cuda и Triton с большим упором на профилирование и оптимизацию оборудования)
  • От онлайн-софтмакса до FlashAttention от Цзыхао Йе

Источник: towardsdatascience.com

✅ Найденные теги: Изучаем, новости

ОСТАВЬТЕ СВОЙ КОММЕНТАРИЙ

Ваш адрес email не будет опубликован. Обязательные поля помечены *

Каталог бесплатных опенсорс-решений, которые можно развернуть локально и забыть о подписках

галерея

Фото сгенерированных лиц: исследование показывает, что люди не могут отличить настоящие лица от сгенерированных
Нейросети построили капитализм за трое суток: 100 агентов Claude заперли…
Скетч: цифровой осьминог и виртуальный мир внутри компьютера с человечком.
Сцена с жестами пальцами, где один жест символизирует "VPN", а другой "KHP".
‼️Paramount купила Warner Bros. Discovery — сумма сделки составила безумные…
Скриншот репозитория GitHub "Claude Scientific Skills" AI для научных исследований.
Структура эффективного запроса Claude с элементами задачи, контекста и референса.
Эскиз и готовая веб-страница платформы для AI-дизайна в современном темном режиме.
ideipro logotyp
Image Not Found
Звёздное небо с галактиками и туманностями, космос, Вселенная, астрофотография.

Система оповещения обсерватории Рубина отправила 800 000 сигналов в первую ночь наблюдений.

Астрономы будут получать оповещения о небесных явлениях в течение нескольких минут после их обнаружения. Теренс О'Брайен, редактор раздела «Выходные». Публикации этого автора будут добавляться в вашу ежедневную рассылку по электронной почте и в ленту новостей на главной…

Мар 2, 2026
Женщина с длинными тёмными волосами в синем свете, нейтральный фон.

Расследование в отношении 61-фунтовой машины, которая «пожирает» пластик и выплевывает кирпичи.

Обзор компактного пресса для мягкого пластика Clear Drop — и что будет дальше. Шон Холлистер, старший редактор Публикации этого автора будут добавляться в вашу ежедневную рассылку по электронной почте и в ленту новостей на главной странице вашего…

Мар 2, 2026
Черный углеродное волокно с текстурой плетения, отражающий свет.

Материал будущего: как работает «бессмертный» композит

Учёные из Университета штата Северная Каролина представили композит нового поколения, способный самостоятельно восстанавливаться после серьёзных повреждений.  Речь идёт о модифицированном армированном волокном полимере (FRP), который не просто сохраняет прочность при малом весе, но и способен «залечивать» внутренние…

Мар 2, 2026
Круглый экран с изображением замка и горы, рядом электронная плата.

Круглый дисплей Waveshare для креативных проектов

Круглый 7-дюймовый сенсорный дисплей от Waveshare создан для разработчиков и дизайнеров, которым нужен нестандартный экран.  Это IPS-панель с разрешением 1 080×1 080 пикселей, поддержкой 10-точечного ёмкостного сенсора, оптической склейкой и защитным закалённым стеклом, выполненная в круглом форм-факторе.…

Мар 2, 2026

Впишите свой почтовый адрес и мы будем присылать вам на почту самые свежие новости в числе самых первых